Page 2 - Nous attendons de vos nouvelles!
Cet appareil électroménager de BOSCH mc est fait par 1901 Main Street, Suite 600 Irvine, CA 92614 Des questions? 1-800-944-2904 www.bosch-home.com/us Nous attendons de vos nouvelles! Concernant ce guide . . . . . . . . . . . . . . . . . . 1Sécurité . . . . . . . . . . . . . . . . . . . . . . . . . ....
Page 3 - Concernant ce guide; Composition du manuel; Définitions concernant la sécurité
Français 1 Concernant ce guide Composition du manuel Vous pouvez obtenir le maximum de votre nouvel appareil en lisant de la première à la dernière page le présent manuel. Ainsi, vous comprendrez bien le fonctionnement et les caractéristiques de votre appareil. Le manuel se compose des sections suiv...
Page 4 - Sécurité; CONSIGNES DE SÉCURITÉ IMPORTANTES; LIRE ET CONSERVER CES CONSIGNES; Avant de commencer; Consignes de sécurité
Français 2 Sécurité CONSIGNES DE SÉCURITÉ IMPORTANTES LIRE ET CONSERVER CES CONSIGNES Avant de commencer INSTALLATEUR : Prière de laisser ces instructions d’installation avec cet appareil à l’intention du propriétaire. PROPRIÉTAIRE : Prière de conserver ces instructions pour pouvoir s’y référer ulté...
Page 5 - Causes de dommages
Français 3 CONSIGNES DE SÉCURITÉ IMPORTANTES LIRE ET CONSERVER CES CONSIGNES Ne préparez jamais d'aliments contenant de grandes quantités de boissons alcoolisées. La vapeur d'alcool peut prendre feu à l'intérieur de l'appareil. N'utilisez que de petites quantités de boissons à forte teneur en alcool...
Page 6 - Les premiers pas; Pièces et accessoires; Tableaux de commande
Français 4 Les premiers pas Pièces et accessoires Tableaux de commande Pavé numérique Tableau d’affichage Pavé tactile de sélection de mode Touche de fonction 1 Touche de fonction 2 Touche de fonction 3 FONCTIONS Il suffit d'appuyer légèrement sur les touches pour les faire fonctionner. Les touches ...
Page 7 - Accessoires supplémentaires
Français 5 Intérieur du four 1. Guides des grilles2. Réservoir d’eau3. Plat de l’évaporateur4. Couvercle du dispositif de convection 5. Éclairage du four6. Sonde de température du four7. Évent d’aération de la vapeur 3 3 5 5 1 1 4 4 6 6 7 7 2 2 1 1 Accessoires et intérieur Les accessoires suivants s...
Page 8 - Avant la première utilisation; Réservoir d’eau
Français 6 Avant la première utilisation • Un technicien qualifié doit procéder à l'installation adéquate de l'appareil avant que vous ne l'utilisiez pour la première fois. • Enlevez tout le matériel d'emballage à l'intérieur et à l'extérieur du four. • Essuyez l'appareil avec un chiffon propre et h...
Page 9 - Réglage du niveau de dureté de l’eau; Étalonnage automatique
Français 7 — Le mode de cuisson s’arrête jusqu’à ce que le réservoir d’eau ait été rempli ou que le four ait été éteint. — Remplissez le réservoir d'eau pour utiliser un mode de cuisson. Réglage de l'horlog L'horloge ne peut être ajustée ou modifiée que lorsque l'appareil est en mode veille. Comment...
Page 10 - Nettoyage des accessoires; Paramètres de base du four
Français 8 automatiquement à votre nouveau site. Le réétalonnage n’est pas nécessaire après une panne de courant. Nettoyage des accessoires Nettoyez les accessoires en profondeur avec de l'eau savonneuse et un chiffon avant de les utiliser. Rincez-les bien avant de les utiliser. Paramètres de base d...
Page 12 - Fonctionnement; Préchauffage du four; Positions de la grille
Français 10 Fonctionnement Avant de commencer à cuisiner Vous devez suivre des étapes semblables à celles décrites ci-dessus avec neuf des onze modes du four à vapeur. Les programmes automatiques CHICKEN (Poulet) et VEGETABLES (Légumes) fonctionnent de manière légèrement différente et sont décrits s...
Page 13 - Mise hors champ du four
Français 11 3. Appuyez sur ENTER . — Si vous n’appuyez pas sur ENTER après avoir choisi une température autre que celle par défaut, le four lance automatiquement le mode de cuisson à la température choisie après cinq secondes. Si aucune modification n’est apportée à la température par défaut, le tab...
Page 14 - Réglage des minuteries; Minuterie de cuisine; Minuterie de four
Français 12 Après l'utilisation du four 1. Après chaque utilisation, laissez la porte du four entrouverte jusqu'à ce que le four ait refroidi. Consultez l'illustration ci-dessous. 2. Une fois le four refroidi, utilisez une éponge de nettoyage pour enlever toute accumulation d'eau dans la cuve de l'é...
Page 15 - Minuteries multiples
Français 13 Comment régler la minuterie de four 1. Appuyez sur la TOUCHE DE FONCTION 2 (Minuterie de four) . 2. Entrez à l’aide du pavé tactile numérique le temps désiré dans le format HH:MM. 3. Appuyez sur ENTER . — Une fois que la minuterie est activée, l’écran affiche le compte à rebours. — Lorsq...
Page 16 - Programmes automatiques LÉGUMES et POULET; Réglage du programme automatique
Français 14 Programmes automatiques LÉGUMES et POULET ALIMENT POIDS PAR DÉFAUT POIDS MIN. POIDS MAX. ACCESSOIRES ET NIVEAUX DE GRILLE LÉGUMES Attendez la fin de la cuisson avant d’assaisonner les légumes, y compris les pommes de terre. Fleurons de chou-fleur 1.0 lb. (0.4 kg) 0.2 lb. (0.1 kg) 4.5 lbs...
Page 17 - Modes de cuisson à la vapeur; La Vapeur
Français 15 Modes de cuisson à la vapeur Réglage de la température selon le mode Chaque mode permet le réglage de températures minimales et maximales. Le tableau suivant décrit les limites des plages de température de chaque mode : MODE DE CUISSON TEMP. MINMUM TEMP. MAXIMUM LA VAPEUR 95°F (35°C) 210...
Page 20 - Comment obtenir des résultats optimaux; Conseils généraux
Français 18 Comment obtenir des résultats optimaux Conseils généraux Préchauffage du four • Placez la grille à la position désirée avant de faire préchauffer le four. • Faites préchauffer le four lorsque vous utilisez les modes BASSE TEMPER, CONVECTION EUROPÉENNE ou GARDER CHAUD. • Mettez les alimen...
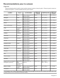
Page 21 - Recommandations pour la cuisson; Légumes
Français 19 Recommandations pour la cuisson Légumes Places les légumes dans le plat de cuisson perforé et placez le plat au niveau de grille 3. Placez la plat de cuisson en dessous de la grille 1. La tôle recueillera tous les jus de cuisson. ALIMENT TAILLE ACCESSOIRES MODE DE CUISSON TEMPÉRATURE TEM...
Page 22 - Légumes et accompagnements
Français 20 Légumes et accompagnements Ajoutez la quantité appropriée d’eau ou de liquide. Exemple : 1:1,5 = pour chaque 1/2 tasse. ALIMENT RATIO ACCESSOIRES MODE DE CUISSON TEMPÉRATURE TEMPS DE CUISSON Pommes de terre (avec peau) Taille moyenne Plat de cuisson perforé (niveau 3) + plat de cuisson (...
Page 24 - Viande à cuisson lente
Français 22 Viande à cuisson lente ALIMENT QUANTITÉ/POIDS ACCESSOIRES TEMPÉRATURE TEMPS DE CUISSON Gigot d’agneau avec os 2 – 3,5 lb (1 – 1,5 kg) Plat de cuisson (niveau 2) 175 Û F (80 Û C) 140 – 160 min. Rosbif 3,5 – 5,5 lb (1,5 – 2,5 kg) Plat de cuisson (niveau 2) 175 Û F (80 Û C) 150 – 180 min. F...
Page 25 - Gâteaux et pâtisseries
Français 23 Soufflés, plats en cocote, ajouts aux soupes, etc. ALIMENT ACCESSOIRES MODE DE CUISSON TEMPÉRATURE TEMPS DE CUISSON Lasagne Plat de cuisson (niveau 2) Steam Conv 320 – 340 Û F (160 – 170 Û C) 35 – 45 min. Soufflés Plat à soufflé + plat de cuisson (niveau 2) Steam Conv 360 – 390 Û F (180 ...
Page 27 - Réchauffage des aliments
Français 25 Réchauffage des aliments ALIMENT ACCESSOIRES MODE DE CUISSON TEMPÉRATURE TEMPS Assiette plate Grille (niveau 2) Reheat 250 Û F (120 Û C) 12 – 18 min. Légumes Plat de cuisson (niveau 3) Reheat 210 Û F (99 Û C) 12 – 15 min. Nouilles, pommes de terre, riz Plat de cuisson (niveau 3) Reheat 2...
Page 29 - Produits congelés
Français 27 Produits congelés Suivez les consignes du fabricant sur l’emballage. Les temps de cuisson spécifiés s’appliquent à des aliments placés dans un four froid. ALIMENT ACCESSOIRES MODE DE CUISSON TEMPÉRATURE TEMPS DE CUISSON Frites Plat de cuisson + papier sulfurisé (niveau 2) European Conv 3...
Page 30 - Aliments spéciaux
Français 28 Aliments spéciaux ALIMENT TAILLE ACCESSOIRES MODE DE CUISSON TEMPÉRATURE TEMPS DE CUISSON Œufs mollets Gros Plat de cuisson perforé + (niveau 3) Plat de cuisson (niveau 1) Steam 210 Û F (99 Û C) 9 – 11 min. Œufs durs Gros Plat de cuisson perforé + plat de cuisson Steam 210 Û F (99 Û C) 1...
Page 31 - Nettoyage; Éponge de nettoyage
Français 29 Nettoyage et entretien Nettoyage AVIS : • Nettoyez les résidus et dégâts d’aliments de la cavité immédiatement après que l’appareil soit refroidi. Les résidus brûlés sont très difficiles à enlever plus tard. • Les sels sont très abrasifs et peuvent entraîner des taches de rouille. Nettoy...
Page 32 - Produits de nettoyage
Français 30 Produits de nettoyage Extérieur de l’appareil Eau savonneuse Enlevez toujours les taches de dépôts calcaires, de graisse, d'huile, de dépôts d'amidon et de blancs d'œuf dès que l'appareil a refroidi. Des produits nettoyants pour acier inoxydable sont disponibles par le biais du service à...
Page 33 - Nettoyage à la vapeur; Détartrage
Français 31 Nettoyage à la vapeur Le nettoyage à la vapeur aide à dissoudre les résidus et les éclaboussures d’aliments dans le four de façon à ce qu’ils soient faciles à nettoyer. Le nettoyage à la vapeur se fait en deux étapes : une phase de nettoyage et une cycle de rinçage. Le processus complet ...
Page 34 - Nettoyage des grilles
Français 32 NOTE : Si la porte est ouverte pendant moins d’une minute pendant le détartrage, le mode est mis en attente et le compte à rebours est suspendu. Lorsque la porte se referme, le mode reprend et le compte à rebours continue. Si la porte reste ouverte plus de 30 secondes, le processus est a...
Page 35 - Entretien
Français 33 Entretien Remplacement de l’ampoule du four à vapeur Des ampoules à halogène de 230 V / 25 W maximum résistantes à la chaleur avec joint peuvent être achetées par l’entremise de magasins au détail ou du service à la clientèle. Lorsque vous achetez par l’intermédiaire du service à la clie...
Page 36 - Avant de contacter le service à la clientèle; Dépannage
Français 34 Service Avant de contacter le service à la clientèle Dépannage Si vous éprouvez un problème, la cause sera habituellement mineure. Avant de contacter le service à la clientèle, veuillez songer à suivre les suggestions et les instructions ci-dessous : PROBLÈME CAUSE PROBABLE CONSEIL/SOLUT...
Page 37 - Information de service
Français 35 Emplacements de la plaque signalétique et du schéma de câblage Les plaques signalétiques contiennent les numéros de modèle et de série. Vous pouvez trouver cette information au bas du cadre avant, derrière la porte du four. Information de service Les réparations doivent être effectuées u...
Page 38 - Énoncé de la garantie; Couverture de la garantie limitée :; Produit hors garantie
Français 36 Énoncé de la garantie Couverture de la garantie limitée : La garantie limitée fournie par BSH Home Appliances dans cet énoncé de garantie limitée s’applique seulement à l'appareil BOSCH qui vous a été vendu à titre de premier acheteur, en autant que le produit ait été acheté : • pour une...
Page 41 - BOSCH
1901 Main Street, Suite 600, Irvine, CA 92614 • 800-944-2904 • www.bosch-home.com/us 9001075934 • 5U06Q9 • Rev. A • © BSH Home Appliances Corporation • 01/15 Service We realize you have made a considerable investment in your appliance. We are dedicated to supporting you and your appliance in any way...