Miele PW 6243 [EL MF] - Manuels

Miele PW 6243 [EL MF] - Manuel d'utilisation, Notice, Notice d'Installation en ligne au format PDF.
Manuel d'utilisation Miele PW 6243 [EL MF]
























































































Résumé
Table des matières 2 Consignes de sécurité et mises en garde ..................................................................... 5 Explication des consignes de sécurité et des avertissements sur la machine ................. 5 Utilisation conforme ......................................................
Table des matières 3 Fin du programme ............................................................................................................. 37 Fin du programme (prélèvement sur le côté contaminé) ............................................... 37Fin du programme (prélèvement sur le côté prop...
Table des matières 4 Nettoyer le bac à produits, les compartiments et le siphon avant utilisation.................... 66Nettoyer les grilles d'aération ............................................................................................ 68Vérifier le dispositif de fermeture ....................
Consignes de sécurité et mises en garde 6 Utilisation conforme Ce lave-linge est exclusivement conçu pour laver des textiles por- tant la mention « lavable en machine ». Toute autre utilisation pourraits'avérer dangereuse. Miele décline toute responsabilité en cas d'utili-sation non conforme. Il...
Consignes de sécurité et mises en garde 7 Les personnes qui ne sont pas en mesure d'utiliser ce lave-linge en toute sécurité en raison de déficiences physiques, sensorielles oumentales ou de leur manque d'expérience ou de connaissances nedoivent pas l'utiliser sans la surveillance ou les instructi...
Consignes de sécurité et mises en garde 8 Assurez-vous que le tambour est à l'arrêt avant de décharger votre linge. Ne mettez jamais les mains à l'intérieur du tambour s'il tourneencore. Vous risquez de vous blesser grièvement. Veillez lors de la fermeture de la porte de chargement à ne pas vous...
Consignes de sécurité et mises en garde 9 Sécurité technique Ce lave-linge ne doit être installé que par le service après-vente ou un revendeur autorisé. Vérifiez que votre lave-linge ne présente pas de dommages ex- ternes avant de l'installer. Si le lave-linge est endommagé, il ne doiten aucun ...
Consignes de sécurité et mises en garde 13 Au dos de la machine se trouve une sortie de ventilation, elle ne doit être en aucun cas fermée. Vérifiez l'écart minimal à respecterdans le schéma d'installation. La recommandation d'utilisation d'adjuvants de lavage chimiques ne signifie pas que le fa...
Consignes de sécurité et mises en garde 14 Les quantités de dosage exactes et les températures de traitementdoivent être réglées et contrôlées sur place conformément aux re-commandations de dosage des fabricants de lessive et de déter-gents. Il faut également tester si aucun chlore actif résiduel ne...
Votre contribution à la protection de l'environnement 15 Nos emballages Nos emballages ont pour fonction de protéger votre appareil desdommages dus au transport. Nous les sélectionnons en fonction decritères écologiques permettant d'en faciliter le recyclage. En participant au recyclage de vos embal...
Votre contribution à la protection de l'environnement 16 Economies d'énergie Consommationd'énergie et d'eau - Utilisez la charge maximale de chaque programme de lavage. La consommation d'énergie et d'eau est plus avantageuse pourune charge pleine. Lessive - Ne dépassez pas les dosages indiqués sur l...
Description de la machine 17 Description de l’appareil côté contaminé (côté chargement) côté propre (côté déchargement) 1 2 3 4 5 6 1 2 a Bouton d’arrêt d’urgence En appuyant sur l'interrupteur rouge, la machine s'éteint en cas d'urgence. b Bandeau de commande c Bac à produits d Porte à battant La p...
Description de la machine 18 f Commutateur pour type de chauffage (en fonction du modèle) Chauffage électrique Chauffage vapeur L'interrupteur permet de commuter entre les modes de chauffage « chauffage à la va-peur » et « chauffage électrique ». Élément de commande - côté contaminé (côté chargement...
Description de la machine 19 f Lecteur carteLorsqu'une carte programme est insérée dans le lecteur de cartes, il est possible de la-ver avec les programmes enregistrés sur la carte. Introduisez toujours la carte de pro-gramme dans le sens de la flèche. g Touche Pour mettre le lave-linge en marche...
Description de la machine 20 e Voyant vert « fin de programme » Touches de fonction La fonction est activée en appuyant sur la touche et désactivée en appuyant à nouveausur la touche. Arrêt/Fin La touche de fonction droite est utilisée après le démarrage de programme comme touchede fin. Après act...
Description de la machine 21 Programme verrouillé Un programme verrouillé ne peut plus être arrêté et annulé en appuyant sur la touche à partir d'une durée de programme d'une minute. Programme déverrouillé En appuyant sur la touche, le programme verrouillé est de nouveau déverrouillé. Do...
Première mise en service 22 Dommages dus à une installation et un raccordement incor- rects.Une installation et un raccordement incorrects du lave-linge en-traînent de graves dommages matériels.Ce lave-linge ne doit être installé que par le service après-vente ouun revendeur autorisé.Respectez les...
Lavage 23 Préparer le linge Vider les poches Videz les poches. Dommages provoqués par des corps étrangers. Des clous, pièces de monnaie, trombones, etc. peuvent endomma-ger le linge et certains composants de l'appareil.Vérifiez la présence de corps étrangers sur le linge avant le lavageet retire...
Lavage 24 Charger le lave-linge Ouvrir la porte àbattant Tirez la poignée de la porte vers le haut du côté contaminé du lave-linge (côté chargement). Tirez la porte à battants vers le haut. Les amortisseurs à gaz poussent la porte battante vers le haut. Ouvrir le tambour Appuyez avec le pouce ...
Lavage 25 Poussez la moitié supérieure de la porte du tambour dans le dispo-sitif d'arrêt situé dans la partie supérieure de la porte. Charger le linge Vérifiez la présence d'animaux ou de corps étrangers dans le tam-bour avant de charger le linge. Chargez le linge déplié dans le tambour sans le...
Lavage 26 Veillez lors de la fermeture du tambour à ne pas coincer de linge. Fermez d'abord la moitié inférieure de la porte du tambour avec ledispositif de sécurité de fermeture. Fermez ensuite la moitié supérieure de la porte du tambour jusqu'àce que les crochets de fermeture s'accrochent et s...
Lavage 27 Ajouter la lessive Ouvrez le bac à produits. Retirez les bacs à produits nécessaires et ajoutez le produit de la-vage correspondant : - Lessive pour le prélavage - Lessive pour le lavage et le trempage - (compartiment avant) Adoucissant, produit d'apprêt, amidon li- quide Ne...
Lavage 28 Agent de blanchi-ment Seuls les textiles qui portent le symbole d'entretien , peuvent être blanchis ou javellisés. Les agents de blanchiment liquides ne doivent être versés que dansle compartiment arrière du bac à produits . Ce n'est seulement que de cette manière que l'agent de blan...
Lavage 30 Sélectionner un programme 23 7 8 Blanc Vidange supplémentaire Couleurs °C °C 90 60 Programme sélectionné (exemple) : Blanc Pour sélectionner le programme souhaité, tournez le sélecteur rota-tif. Le programme sélectionné est en surbrillance. Appuyez sur le sélecteur rotatif po...
Lavage 31 Fonctions supplémentaires Sélectionner Pré-lavage Pour sélectionner la fonction supplémentaire Prélavage, appuyezsur la touche de fonction + . 7 Lavage Blanc Prélavage °C 90 16,0 / 16,0 + kg U/min 975 40 °C Le symbole + est en surbrillance. Si vous souhaitez désélectionner...
Lavage 33 L'écran affiche l'heure et la date actuelles sur le côté gauche et ladate de début du programme réglée sur le côté droit. 1 Blanc 10,0 / 16,0 kg Prélavage + 20:50 3.1.2015 Départ: 6:00 4.1.2015 - - Exemple d'affichage après le réglage de la date de début Si la porte à battant est ...
Lavage 34 Changer tempo-rairement delangue Il est possible de modifier provisoirement la langue d'affichage avantle démarrage d'un programme via le symbole drapeau. La langue sélectionnée est réinitialisée 5 minutes après la fin de pro-gramme en cas d'ouverture de porte. 1 Blanc 90 2 Couleurs 60 3 C...
Lavage 35 Adaptations de programmes Modifier la capa-cité Avant le démarrage du programme, la quantité de charge peut êtremodifiée manuellement. 7 Lavage Blanc Prélavage °C 90 10,0 + kg 40 °C 16,0 Affichage à l'écran avec le champ de saisie « Charge » en surbrillance Tournez le sélecteu...
Lavage 36 La vitesse d'essorage peut maintenant être modifiée à l'aide du sé-lecteur rotatif. Tournez le sélecteur, jusqu'à ce que vous ayez réglé la vitesse d’es-sorage souhaitée. Selon le type de machine, la vitesse d'essorage peut être modifiéepar paliers de 25 tr/min, de 300 tr/min à 1025 tr/m...
Lavage 37 7 Temps restant Temps après départ °C 10.07.2018 Temps après départ 09:47 Affichage à l'écran après avoir appuyé sur la touche de fonction (exemple 2) Pour revenir à l'état du programme, appuyez sur la touche de fonc-tion . Fin du programme En fonction du programme de lavage ch...
Lavage 38 Ouvrir le tambour Appuyez avec le pouce sur le dispositif de sécurité de la fermeture. Appuyez simultanément sur les deux moitiés de la porte du tam-bour jusqu'à ce que les moitiés de la porte du tambour soient dé-verrouillées. Rabattez les deux moitiés de la porte du tambour vers l'...
Lavage 39 Détachez la moitié supérieure de la porte du tambour de son dispo-sitif de blocage. Fermez d'abord la moitié inférieure de la porte du tambour avec ledispositif de sécurité de fermeture. Fermez ensuite la moitié supérieure de la porte du tambour jusqu'àce que les crochets de fermetur...
Lavage 40 L'eau s'écoule. Démarrer un pro-gramme d'esso-rage supplémen-taire Sélectionnez le programme Essorage supplémentaire . Appuyez sur la touche . Le lave-linge exécute le programme d'essorage. Le programme se termine du côté contaminé. Arrêter le lave-linge Pour que le lave-linge puiss...
Fonctionnement avec la carte 41 Laver avec la carte programme Les cartes qui contiennent un programme, sont conçues pour uncertain type de machines. Les cartes vierges sont universelles. Dommages causés par l'introduction d'objets non adaptés. Le lecteur de cartes peut être endommagé si d'autres o...
Fonctionnement avec la carte 42 Corriger les erreurs de carte Les erreurs de carte sont signalées par un message correspondant àl'écran. Si le message Carte mal insérée dans lecteur. s'affiche à l'écran, la carte a été insérée à l'envers dans le lecteur de cartes. Retirez la carte du lecteur. In...
Fonctions supplémentaires 43 Changer temporairement de langue Il est possible de modifier provisoirement la langue d'affichage avantle démarrage d'un programme via le symbole drapeau. La langue sélectionnée est réinitialisée 5 minutes après la fin de pro-gramme en cas d'ouverture de porte. 1 Blanc 9...
Fonctions supplémentaires 44 Départ différé Si un départ différé doit être affecté à un programme, il est possiblede différer le programme avec la touche « Départ différé ». Régler le départdifféré Sélectionnez le programme de lavage. L'affichage suivant (exemple) apparaît après la sélection du...
Fonctions supplémentaires 45 Les modifications ne sont pas sauvegardées. Avec prélavage Pour le linge très sale, il est possible de sélectionner un Prélavageavant le démarrage du programme dans les programmes standard 1à 10. Appuyez sur la touche + « Bloc+ ». Le message suivant s'affiche : 1 ...
Fonctions supplémentaires 46 Sans essorage « Arrêt sans essorage » peut être sélectionné dans tous les pro- grammes standard (sauf option essorage) avant le démarrage du pro-gramme. Appuyez sur la touche « Arrêt sans essorage ». Le champ dans l'affichage est représenté en surbrillance. Cons...
Fonctions supplémentaires 47 Annulation de programme Vous pouvez annuler un programme avec cette fonction. Appuyez deux fois sur la touche « Start/Stop » (Arrêt/Fin). Le programme est interrompu. Si le programme est arrêté alors qu'il reste de l'eau dans la machineou pendant l'essorage, le mess...
Modules en option 49 Dosage de produits liquides (en option pour les appa-reils avec boîte à produits) A e a c b d B A Pompe doseuse B Canne d'aspiration a Raccord (côté aspiration) b Raccord (côté pression) c Vidange (en cas de rupture de tuyau) d Ouverture d'aspiration e Sonde de niveau pour la ja...
Modules en option 50 Après le démarrage du programme, l'adjonction de lessive n'estpas effectuée par les pompes doseuses et l'affichage suivant appa-raît : + 10,0 / 10,0 kg 1 90 °C Lavage Blanc U/min 1000 Rinçage Volumes de do-sage Les indications du fabricant de lessive doivent être re...
Modules en option 52 A cet effet, nettoyez les buses d'aspiration avec de l'eau. Disposez les buses d'aspiration dans un récipient avec de l'eauchaude (40 - 50 °C). Commandez chaque pompe par le calibrage de dosage jusqu'à ceque le système de dosage soit rincé. Contrôlez que les raccords, fl...
Modules en option 53 Module données exploita. Ensemble données Données programme Possibilités de sélection : - Ensemble données Dans cette Ensemble données, les données de tous les pro-grammes sont réunies et totalisées. - Données programme Les Données programme sont des données enregistrées p...
Modules en option 54 - Tps activ. mot. entraînemt: 93.456 h - Départs programme: 23 456 - Arrêts programme: 567 - Annulations programme: 67 - Quantité d'eau: 1.234.567 l - Quantité de linge: 1.234.567 kg - Produit à doser: 2.345 l - Energie: 12.345.678 kWh Données programme Module données ex...
Modules en option 55 - Type machine : PW 6321 - Quantité de linge : 13 kg - Touche + : actionné - Touche Arrêt amidonnage : actionné - Touche Arrêt sans essor. : non actionné - Départ programme : 11.30 - Fin du programme : 12.05 - Temps fonctionnement : 0 h 35 min - Consommation électrique : ...
Modules en option 56 : 21.02.2020 : 12.07.2020 Module données exploita. Supprimer données Module Ensemble données L'option Module permet de supprimer les Ensemble données et les Données programme des Données exploitation. L'option Ensemble données permet de supprimer uniquement les Ensemble ...
Modules en option 58 Point de prélèvement du bain lessiviel Certains types d'appareils sont équipés d'un point de prélèvementpour la solution alcaline à des fins d'analyse en laboratoire. Le pointde prélèvement d'échantillons ne peut être utilisé que par un person-nel formé à cet effet. Lors du prél...
Modules en option 59 Selon le programme de lavage, le robinet et le bain lessiviel peuvent être chauds, de sorte qu'un contact sans vêtements deprotection peut provoquer des brûlures. En fonctionnement normal, le robinet doit rester fermé. Le robinet nedoit être ouvert que dans le cas approprié po...
En cas d'anomalie 60 Aide en cas d'anomalie Vous pouvez régler la plupart des défauts ou anomalies courants par vous-même. Dansbon nombre de cas, vous économiserez ainsi du temps et de l'argent car vous n'aurez pasbesoin de faire appel au service après-vente. Les tableaux suivants vous aideront à dé...
En cas d'anomalie 63 Messages d’erreur à l'écran Message Cause et solution Intervalle SAV Appeler le SAV. Le lave-linge doit être entretenu par le service après-vente. Contactez le service après-vente Miele. Défaut arrivée d'eau Appelerle service après-vente si leredémarrage échoue. Une erreur a é...
En cas d'anomalie 65 Message Cause et solution Erreur positionnement Arrêtprogramme, eau reste dansmachine La position du tambour n'est pas correcte. Il y a encore del'eau dans le lave-linge. Appuyez sur la touche . Si l'anomalie persiste, appuyez sur la touche de fonc-tion . L'eau est vid...
Nettoyage et entretien 66 Procédez au nettoyage et à l'entretien si possible après l'utilisation dulave-linge. Risque d'électrocution en raison de la tension réseau. Les interventions de nettoyage et de maintenance doivent être réa-lisées uniquement sur un appareil mis hors tension.Débranchez le l...
Nettoyage et entretien 68 Nettoyage de lagouttière et du si-phon Ouvrez le clapet du bac à produits à 45° et sortez le clapet du bac àproduits du côté droit vers le haut. Si la gouttière et le raccord d'évacuation correspondant sont obs-trués, nettoyez-les. Vérifiez régulièrement la grille d'éva...
Nettoyage et entretien 69 Vérifier le dispositif de fermeture Vérifiez régulièrement que le dispositif de fermeture du tambour esten bon état. S'il y a des peluches sur la porte du tambour, enlevez les peluches. Traiter la rouille externe Le tambour et la cuve sont en acier inoxydable. De l'eau cont...
Nettoyage et entretien 70 Palier d'arbre du tambour Lorsque l'intervalle de service est atteint, le message suivant s'afficheà l'écran : Graissage palier tambour Appeler le SAV. A l'aide de la touche ce message sera supprimé. Il s'affiche après la mise en marche de la machine jusqu'à ce que l...
Signification des symboles sur la plaque signalétique 72 Émissions sonores Niveau de pression acoustique d'émission pondéré A PW 6163 70 dB (A) PW 6243 71 dB (A) PW 6323 71 dB (A) au poste de travail max. EN ISO 11204 Niveau de pression acoustique pondéré A PW 6163 79 dB (A) PW 6243 81 dB (A) PW 632...
Installation 73 Installation du lave-linge Danger dû à une mauvaise installation. Une installation incorrecte du lave-linge peut entraîner des bles-sures et des dommages.Ce lave-linge ne doit être installé que par le service après-vente ouun revendeur autorisé. Conditions générales de fonctionneme...
Installation 74 1 2 Démontez le boîtier du convertisseur de fréquence (1). Le boîtier estfixé par 3 vis. Accrochez le convertisseur de fréquence sur le côté (2). Démonter la tôlede fixation desappareils chauf-fés à la vapeur Pour les lave-linge chauffés à la vapeur, démontez également la tôled...
Installation 75 Démonter les sécurités de transport Les sécurités de transport ne doivent être retirées que sur le lieud'installation avant la mise en service du lave-linge. Retirez les 2 sécurités de transport du côté propre du lave-linge. Retirez les 2 sécurités de transport du côté contaminé ...
Installation 76 Démonter les sécurités de transport sur le système depesée Desserrez les écrous des 4 vis à l'aide d'une clé plate. Conservez les sécurités de transport. Avant de transporter à nouveaul'appareil, il faut remonter les sécurités de transport. Installer les sécu-rités de transport M...
Installation 77 Raccordement à l’eau Pour garantir un fonctionnement sans problème, une pression d'eaude 100 kPa (1 bar) au minimum et de 1 000 kPa (1 bar) au maximumest nécessaire. 1 2 3 4 5 6 5 a Eau froide pour dosage liquide b Eau dure (eau froide) c Face du boîtier d Couvercle de boîtier e Eau ...
Installation 78 Utilisation de cla-pets anti-retour Pour le raccordement à l'eau, il faut utiliser les clapets anti-retour li-vrés en Allemagne. Selon l'ordonnance allemande sur l'eau potable, un clapet anti-retourdoit être raccordé entre le robinet d'eau et le tuyau d'alimentation eneau en Allemagn...
Installation 79 Raccordements de dosage Vous pouvez raccorder jusqu'à 12 dispositifs de dosage au lave-linge. Raccordements de dosage au dos de l’appareil Utilisez les raccords 1 et 2 pour le dosage de la pâte ou pour les sys- tèmes de dosage à haute pression avec rinçage à l'eau. Les disposi-tifs d...
Installation 80 Il est possible d'utiliser jusqu'à 4 pompes doseuses temporisées sansmodule multifonctions. Les bornes de raccordement se trouvent der-rière le couvercle, à côté du raccordement électrique. Voir le pland'installation fourni. Pour les lave-linge équipés d'un module multi-fonction en o...
Installation 81 Le lave-linge peut être raccordé soit par raccordement fixe, soit parprise, conformément à la norme IEC 60309-1. Pour un raccordementfixe, il faut installer sur le lieu d'installation un dispositif de sectionne-ment phase et neutre. Ce dispositif doit être protégé contre tout réencle...
Installation 82 Liaison équipo-tentielle Il faut toujours réaliser une liaison équipotentielle avec une bonneconnexion de contact, qui soit également conforme aux dispositionsnationales en matière d'installation. Le chauffage électrique est réglé en usine sur 15 kW (PW 6163),24 kW (PW 6243), 30 kW (...
Mode d’emploi abrégé 83 1. Préparation du linge Lavez dans ce lave-linge uniquement des textiles déclarés lavablesen machine par le fabricant sur l'étiquette d'entretien. Videz les poches. 2. Mettre la machine en marche et charger le linge Mettez le lave-linge en marche à l’aide de la touche ...
Mode d’emploi abrégé 84 Les agents de blanchiment liquides doivent uniquement être ajou-tés dans un compartiment prévu à cet effet . 4. Sélectionner un programme en tournant le sélecteurrotatif 5. Appuyer sur la touche « START », le programme de la-vage sélectionné démarre Si le message « Anomali...
Miele S.A.SZ.I. du Coudray9, avenue Albert EinsteinB.P. 100093151 Le Blanc-Mesnil Cedexwww.miele.fr/professional R.C.S. Bobigny B 708 203 088 Tél. : Fax. :Mail : Tél. :Fax. :Mail : Tél. :Mail : 01 49 39 44 44 01 49 39 44 38[email protected] 01 49 39 44 7801 49 39 34 10[email protected] 01 49 39 44 8...
Notice Miele PW 6243 [EL MF]



















































































































































































































































































Résumé
fr - Table des matières 98 Tableau des programmes ............................................................................................... 99 Programmes Vêtements de protection .............................................................................. 111Programmes Masques ..................
fr - Tableau des programmes 99 Programme Déroulement de programme Type de textile Rapport de remplissage/ Quantité de charge Thermodésinfection - Prélavage 40 °C ( + ) - Désinfection 90 °C avec Cool Down - Temps de maintien en température10 min. - 2 cycles de rinçage - Essorage final - Coton - Li...
fr - Tableau des programmes 111 Programmes Vêtements de protection Tenue de protection 60 °C (froid à 60 °C) Rapport de rem-plissage/Quanti-té de charge Type de textile Tenues, vestes, pantalons pour pompiers Nomex voir tableau « quantité de charge vêtements de protection » Déroulement deprogramme P...
fr - Tableau des programmes 112 Tenue de protection Pour préparer le linge N'agrafez pas d'étiquettes sur les articles à laver. Si possible, retirez les mousquetons ou placez-les dans une poche latérale soigneuse-ment fermée. Fermez les fermetures velcro ou couvrez-les avec du velcro. Lavez ...
fr - Tableau des programmes 113 Programmes Masques Les programmes Masques sont conçus pour le lavage et la désinfection de masques res- piratoires avec croisillon. Avant le chargement de la machine, relevez les lanières des masques pour protéger lesvisières. Placez chaque masque dans le sac de p...
fr - Tableau des programmes 114 Programmes Tenues protection chimie Vêtement chimie sont des programmes de lavage des vêtements de protection chimique des pompiers.Une désinfection thermochimique (60 °C–140 °F / 20 min) est réalisée pour laquelle desdétergents appropriés doivent être utilisés. Vêtem...
fr - Tableau des programmes 115 Programmes Vêtements secours Désinf. vêtement secours* 60 °C Rapport de rem-plissage/Quanti-té de charge Type de textile Nomex et coton voir tableau « Quantité de charge des vêtements pour le personnel de secours » Déroulement deprogramme Prélavage jusqu'à 40 °CDésinf...
fr - Tableau des programmes 116 Casque* 60 °C (froid à 60 °C) Rapport de rem-plissage/Quanti-té de charge Type de textile Casques de protection pour pompiers PW 6163 – 4 casques PW 6243 – 6 casques PW 6323 – 10 casques Déroulement deprogramme Prélavage jusqu'à 40 °Ccycle de lavage principal jusqu'à ...
fr - Généralités 120 Prévention de la contamination ou de la recontamination - Désinfection des mains du personnel - Nettoyer et désinfecter soigneusement les conteneurs de transport. - Les installations de sas doivent être intactes. - Doser les produits de lavage et de désinfection selon les indica...
Notice d'Installation Miele PW 6243 [EL MF]





































































































































































































































































Résumé
fr - Table des matières 49 Consignes d'installation ............................................................................................................. 51 Explication des consignes de sécurité et des avertissements sur la machine .................... 51 Conditions d'installation .............
fr - Consignes d'installation *INSTALLATION* 51 Explication des consignes de sécurité et des avertissementssur la machine Veuillez lire le mode d'emploi Lisez les instructions, par exemple les instructions d'instal-lation Attention : surfaces brûlantes Attention tension jusqu'à 1000 V ! Mise à la te...
fr - Consignes d'installation *INSTALLATION* 52 Installation Transportez le lave-linge sur le lieu d'installation à l'aide d'un chariotet retirez l'emballage de transport.Le lave-linge doit être placé sur une surface totalement plane, horizon-tale et solide qui résiste au moins à une charge au sol i...
fr - Consignes d'installation *INSTALLATION* 54 Raccordement vapeur Seul un installateur habilité peut effectuer l'installation du rac- cordement de vapeur. Pour le raccordement, respectez les instruc-tions d'installation, la plaque signalétique sur le lave-linge, le sché-ma électrique, le schéma ...
fr - Consignes d'installation *INSTALLATION* 56 Pour des raisons de fonctionnement et de technique, un fonction-nement exclusif à l'eau chaude n'est pas possible.Le lave-linge doit également être raccordé à une arrivée d'eau froides'il y a déjà un raccordement à l'eau chaude. Raccordement àl'eau dur...
fr - Consignes d'installation *INSTALLATION* 59 Options / Accessoires en option Des accessoires ne peuvent être rajoutés ou montés que s'ils sontexpressément autorisés par Miele.Le montage d'autres pièces exclut le bénéfice de la garantie. Kit monnayeur(BSK) Grâce au kit monnayeur en option (BSK), i...
fr - Installation 61 Chauffage vapeur indirecte 1 2 3 4 5 1 2 3 4 5 6 7 8 7 8 9 9 10 Dimensions en millimètres a Raccordement électrique b Raccordement à l'eau froide c Raccordement à l’eau chaude d Raccordement à l'eau froide (eau dure) e Raccordement eau froide pour dosage de produits liquides (en...
fr - Installation 62 Chauffage vapeur directe 1 2 3 4 5 1 2 3 4 5 6 7 8 7 8 9 9 Dimensions en millimètres a Raccordement électrique b Raccordement à l'eau froide c Raccordement à l’eau chaude d Raccordement à l'eau froide (eau dure) e Raccordement eau froide pour dosage de produits liquides (en opti...
fr - Installation 63 Raccordements 1 7 6 5 4 3 2 8 9 11 12 13 14 15 10 Dimensions en millimètres a Raccordement électrique b Raccordement à l'eau froide c Raccordement à l’eau chaude d Raccordement à l'eau froide (eau dure) e Raccordement eau froide pour dosage de produits liquides (en option) f Rac...
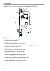
fr - Installation *INSTALLATION* 69 Fixation au sol a a a a a Dimensions en millimètres Vis/ Point de fixation Fixation au sol avec socle/système de pesée (UG/WI) a a a a a Dimensions en millimètres Vis/ Point de fixation
fr - Caractéristiques techniques 70 Variantes de tension et caractéristiques électriques Raccordement Tension électrique 3N AC 380-415 V Fréquence 50 - 60 Hz Consommation 4,3 kW Protection par fusibles (côté installation) 3 x 16 A Diamètre minimum du câble d'alimentation 5 x 1,5 mm² Vissage de câble...
fr - Caractéristiques techniques 71 Raccordement à l’eau chaude Température de l'eau chaude maximale admissible 70 °C Pression nécessaire 100–1000 kPa (1–10 bar) Débit volumétrique maximal 16 l/min Débit maximal sans bac à produits 20 (25,5*) l/min Raccord fileté requis (filetage extérieur, côté ins...
fr - Caractéristiques techniques 72 Caractéristiques de l’appareil Largeur de l’appareil (sans pièces ajoutées) 1337 mm Hauteur de l'appareil (sans pièces ajoutées) 1705 mm Profondeur de l'appareil (sans pièces ajoutées) 870 mm Largeur hors tout 1396 mm Hauteur hors tout 1725 mm Profondeur hors tout...
Other Miele Autres Manuals
-
Miele APWM 066 Notice d'Installation
-
Miele APWM 062 Notice d'Installation
-
Miele APWM 065 Notice d'Installation
-
Miele APWM 020 Manuel d'utilisation
-
Miele APWM 020 Notice d'Installation
-
Miele SC Notice d'Installation
-
Miele PR Notice d'Installation
-
Miele FP 900 Notice d'Installation
-
Miele RP 900 Notice d'Installation
-
Miele APWM 019 Manuel d'utilisation
-
Miele APWM 019 Notice d'Installation
-
Miele A 830/1 Manuel d'utilisation
-
Miele TT 86 Manuel d'utilisation
-
Miele RP 1150 Notice d'Installation
-
Miele UG 5010 Notice d'Installation
-
Miele UO 5010 Notice d'Installation
-
Miele APCL 001 Notice d'Installation
-
Miele E 473/2 Manuel d'utilisation
-
Miele APRI 312 Notice d'Installation
-
Miele DOS K 85 flex Notice d'Installation