Miele PDW 909 [EL DP DD] - Manuels

Miele PDW 909 [EL DP DD] - Manuel d'utilisation, Notice, Notice d'Installation, Guide rapide en ligne au format PDF.
Manuel d'utilisation Miele PDW 909 [EL DP DD]














































































































































Résumé
Table des matières 2 Votre contribution à la protection de l'environnement ........................................................ 8 Votre ancien appareil .................................................................................................................... 8 Consignes de sécurité et ...
Table des matières 3 Minuteur ......................................................................................................................................... 41 Spécificités selon les programmes ............................................................................................. 4...
Table des matières 4 Déverrouillage manuel de porte en cas de vidange obstruée et/ou de panne de courant . 69 Nettoyage et entretien ................................................................................................................ 71 Formation de corrosion ...............................
Table des matières 5 Commande/affichage ................................................................................................................... 111 Langue ........................................................................................................................................
Table des matières 7 Mise en réseau ............................................................................................................................. 135 Instructions d'appariement ......................................................................................................... 1...
Votre contribution à la protection de l'environnement 8 Nos emballages Nos emballages protègent votre appareil des dommages pouvant sur-venir pendant le transport. Nous les sélectionnons en fonction de cri-tères écologiques permettant d'en faciliter le recyclage. En participant au recyclage de vos e...
Consignes de sécurité et mises en garde 9 Mode d’emploi d'origine Explication des consignes de sécurité et des avertissementssur la machine Veuillez lire le mode d'emploi Lisez les instructions, par exemple les instructionsd'installation Attention : surfaces brûlantes Attention tension jusqu'à 1000 ...
Consignes de sécurité et mises en garde 10 Utilisation conforme Ce lave-linge est exclusivement conçu pour laver des textiles por- tant la mention « lavable en machine ». Toute autre utilisation pourraits'avérer dangereuse. Miele décline toute responsabilité en cas d'utili-sation non conforme. L...
Consignes de sécurité et mises en garde 11 Les programmes de désinfection ne peuvent pas être interrompus, car le résultat de désinfection peut être limité. L'exploitant doit garan-tir dans la routine par des contrôles correspondants un standard dedésinfection de procédés thermique et chimico-ther...
Consignes de sécurité et mises en garde 12 Erreur d'utilisation prévisible N'utilisez jamais de détergents contenant des solvants pour net- toyer le tambour de votre colonne lave-linge/ sèche-linge. Ces pro-duits risquent de détériorer les pièces de l'appareil et de dégager desvapeurs toxiques. Ri...
Consignes de sécurité et mises en garde 13 Sécurité technique Vérifiez que votre colonne lave-linge/ sèche-linge ne présente pas de dommages externes avant de l'installer. Si la colonne lave-linge/sèche-linge est endommagée, elle ne doit en aucun cas être installéeet mise en service. Seul un rac...
Consignes de sécurité et mises en garde 19 Dommages sur les composants et liés au chlore Plus vous utilisez de chlore, plus les composants risquent d'être abîmés. L'utilisation de produits à base de chlore, comme l'hypochlorite de sodium et les blanchiments au chlore en poudre peut en fonction d...
Consignes de sécurité et mises en garde 20 Accessoires Des accessoires ne peuvent être rajoutés ou montés que s'ils sont expressément autorisés par Miele. Si d’autres pièces sont rajoutéesou montées, les prétentions à la garantie et/ou fondées sur la respon-sabilité du fait du produit deviennent c...
Commande 23 Bandeau de commande ⑥ ① ② ③ ④ ⑤ ⑦ ⑧ ⑨ ⑩ ⑪ ⑫ a Sèche-linge touche sensitivelangue pour sélectionner la langue utilisateur ac-tuelle. À la fin du programme, la langue del’exploitant s’affiche à nouveau. b Sèche-linge touche sensitive Retour Revient au niveau précédent dans le me-nu. ...
Commande 24 Touches sensitives et écran tactile Les touches sensitives , et Start/Stop ainsi que les affichages à l’écran réagissent au contact du doigt. Tout contact est confirmé parun bip sonore. Vous pouvez modifier ou désactiver le volume du bipsonore (voir chapitre « Mode exploitant »). Le...
Commande 25 Menu principal Après avoir enclenché l'appareil, le menu principal apparaît à l'écran.Vous pouvez accéder aux principaux sous-menus à partir du menuprincipal. Effleurez la touche sensitive pour retourner à tout moment au me- nu principal. Les valeurs réglées au préalable ne sont pas e...
Commande 27 Réglage des don-nées chiffrées Certains menus permettent le réglage de valeurs numériques. Dans l'exemple suivant, le réglage de l'heure est effectué. L'accès àce niveau est décrit au chapitre « Mode exploitant ». OK 12 00 10 58 14 02 11 59 13 01 Heure Entrez les chiffres en b...
Commande 28 Menu déroulant L'exemple suivant décrit l'affichage d'un programme de lavage encours. L'accès à ce niveau est décrit au chapitre « Démarrage duprogramme - Fin de programme ». 11:02 2:27 Blanc Laver et chauffer Tps rest. Statut Si une barre orange apparaît en haut de l'écran au m...
Commande 29 Utilisation dans une laverie Selon la programmation effectuée, le menu d'accueil peut se présen-ter de différentes manières (voir chapitre « Mode exploitant », section« Commande »). La commande simplifiée s'effectue via une sélection rapide. Les utili-sateurs ne peuvent pas modifier les ...
Lavage 30 Préparation du lavage Vider les poches Videz les poches. Dommages provoqués par des corps étrangers. Des clous, pièces de monnaie, trombones, etc. peuvent endomma-ger le linge et certains composants de l'appareil.Vérifiez la présence de corps étrangers sur le linge avant le lavage etre...
Lavage 31 - Vous trouverez davantage de conseils dans le « Tableau des pro- grammes ». Charger et mettre le lave-linge en marche Charger le lave-linge Préparez le lave-linge. Mettez le lave-linge en marche à l’aide de la touche . L’écran d’accueil s’affiche. Ouvrez la porte en tirant sur la...
Lavage 32 Vérifiez qu'aucune pièce de linge n'est coincée entre la porte et l’ouverture de chargement. Fermez la porte en appuyant fermement sur le dispositif d'enclen-chement. Le dispositif de fermeture de porte est enclenché, mais le lave-lingen'est pas encore verrouillé. La porte se verrouill...
Lavage 33 Lavage avec la boîte à produits Dosage de la les-sive via la boîte àproduits Pour les programmes standard, verser la lessive en poudre pour lelavage principal dans le compartiment . Si vous le souhaitez, ver- ser la lessive pour le prélavage dans le bac à produits , l'adoucis- sant...
Lavage 34 Utilisation de tein-tures / de décolo-rants et de détartrants Des produits colorants / décolorants et des produits de détartragedoivent être appropriés à l'utilisation en lave-linge. Respectez impéra-tivement les consignes d'utilisation du fabricant. Dosage de la les-sive Dosage de la les-...
Lavage 35 Sélectionner un programme Programmes Il existe plusieurs possibilités de sélectionner un programme. 11:02 Programmes Favoris Exploitant Vous pouvez sélectionner un programme dans le menu Programmes . Effleurez la zone de sélection Programmes . 11:02 Blanc Couleurs Couleursint...
Lavage 36 La plupart des réglages de programme sont déjà déterminés pour lesprogrammes favoris et ne peuvent pas être modifiés. Sélectionner les paramètres du programme Sélectionner lacharge Pour permettre un dosage externe en fonction de la charge et uncycle adapté, vous pouvez indiquer la charge p...
Lavage 39 Sélectionner des options Sélectionner desoptions Vous pouvez sélectionner des options pour certains programmes delavage. Effleurez la zone de sélection Options . 11:02 Minuteur Blanc 9,0/9,9 kg °C Tr/min 90 0:56 h 1300 Aperçu Options Détail 11:02 OK Prélavage Rinçage supp...
Lavage 40 Démarrage de programme - fin de programme Démarrer un pro-gramme Dès qu'un programme peut être démarré, la touche sensitive Start/ Stop clignote. Effleurez la touche sensitive Start/Stop . La porte se verrouille (symbole ) et le programme de lavage dé- marre. 11:02 2:27 Blanc Lave...
Lavage 41 Le linge oublié dans le tambour pourrait rétrécir ou déteindre lors dela prochaine lessive.Retirez le linge du tambour. Vérifiez qu'aucun corps étranger n'est resté coincé dans le jointd'étanchéité de la porte. Arrêtez le lave-linge avec la touche . Conseil : Laissez le bac à produi...
Lavage 42 Si le programme a déjà commencé, annulez-le pour pouvoir modifierou supprimer le délai de départ différé. Vous pouvez démarrer immédiatement le programme. Effleurez la zone de sélection Démarrer tout de suite .
Lavage 43 Spécificités selon les programmes Essorage Vitesse d’essoragefinal La vitesse d'essorage maximale pour le programme de lavage s'affichetoujours dans le menu de pré-démarrage à l'écran après la sélectiondu programme. Il est possible de réduire la vitesse d'essorage final. La vitesse ne peut...
Lavage 44 Avance rapide La fonction « Modifier l'ordre » permet d'avancer ou de reculer dansle déroulement du programme. Le déroulement de programme sepoursuit à partir du cycle de programme sélectionné. Si un programme est interrompu au moyen de la touche Start/Stop , la fonction Modifier l'ordre ...
Lavage 46 La fonction n'est possible que si la Connector Box, les pompes dedosage et le dosage automatique ont été sélectionnés au niveau del'exploitant, voir chapitre « Mode exploitant ». Appuyez sur la touche de fonction Doser .. Choisissez la pompe doseuse et le volume de dosage souhaité, ...
Séchage 48 1. « Conseils d'entretien de votre linge ». Laver votre lingeavant de le sécher Lavez soigneusement les textiles très sales. Utilisez suffisamment delessive et lavez à haute température. En cas de doute, lavez le lingeplusieurs fois. Si des produits chimiques industriels ont été utilisés ...
Séchage 49 Remplir le sèche-linge de linge Les textiles peuvent être endommagés.Avant de charger votre sèche-linge, lisez tout d'abord le chapitre« 1. Conseils d'entretien de votre linge ». Ouvrez la porte. Remplissez le sèche-linge de linge. Risque de dommages liés à du linge coincé.Les textile...
Séchage 50 Effleurez la touche sensitive du programme. L'écran passe au menu de base du programme de séchage. Vous pouvez également sélectionner un programme via la liste desfavoris. Il est possible de modifier les programmes paramétrés sous Favo- ris via le niveau exploitant. 11:02 Progr...
Séchage 52 5. Démarrer un programme Monnayeur (enoption) Pour utiliser le monnayeur, suivez les instructions de paiement quis'affichent à l'écran. Perte de valeur possible lors de l'ouverture de la porte de charge-ment ou de l'annulation du programme.Selon le réglage, l'ouverture de la porte de char...
Séchage 53 « sauter ». L'électronique adaptative du sèche-linge s'ajuste pendantle programme de séchage en cours. La durée du programme affichéedevient de plus en plus précise. Lors des premières utilisations des programmes, le temps affichés'écarte parfois considérablement du temps de séchage resta...
Modifier le déroulement d'un programme 54 Lave-linge Modifier un pro-gramme Modifier un pro-gramme de lavage Pour choisir un autre programme, vous devez d'abord annuler le pro-gramme en cours et sélectionner le nouveau programme. Annuler un pro-gramme Vous pouvez annuler un programme de lavage à tou...
Modifier le déroulement d'un programme 57 - Si vous le souhaitez, vous avez encore la possibilité de changer de palier de séchage. Ouvrez la porte. Ajoutez ou retirez du linge. Fermez la porte. Effleurez la touche sensitive Départ/Arrêt pour que le départ différé se poursuive. Temps restant ...
En cas d'anomalie 58 Conseils en cas de panne Déverrouillage d'urgence de la porte en cas de panne de courant La porte de chargement ne s’ouvre pas. Attention ! Tambour en fonctionnement et risque de brûlures. Avant de poser la clé Torx, vérifiez que la machine est hors tension, le tambour est à l...
En cas d'anomalie 59 Service après-vente En cas de pannes, contactez le service après-vente. Veuillez indiquer au service après-vente le modèle de la machine, le numéro de série (SN)et le numéro de matériel (M.-Nr.). Ces indications figurent sur la plaque signalétique. Elleest collée porte ouverte, ...
En cas d'anomalie 61 Annulation de programme et message d'anomalie Problème Cause et solution F - Anomalie vidange. Si le redémarrage échoue,contactez le service après-vente. L’évacuation d’eau est bloquée ou gênée. Le tuyau de vidan-ge est placé trop haut. Nettoyez les filtres et la pompe à bai...
En cas d'anomalie 63 Résultat de lavage insatisfaisant Problème Cause et solution Le résultat de lavage n’estpas satisfaisant avec de lalessive liquide. La lessive liquide ne contient pas d’agent de blanchiment.Les taches de fruit, de café ou de thé ne sont donc pas tou-jours éliminées. Utilisez d...
En cas d'anomalie 65 Problème Cause et solution Une fois sec, le linge enfibres synthétiques estchargé d'électricité sta-tique. Les fibres synthétiques ont tendance à se charger en élec-tricité statique. Pendant le lavage en machine, l'utilisation d'un assou-plissant au dernier rinçage peut diminu...
En cas d'anomalie 67 Problèmes généraux avec la colonne lave-linge/ sèche-linge Problème Cause et solution La colonne lave-linge/sèche-linge n'est pas im-mobile pendant l'essorage. Les pieds de l’appareil sont mal réglés et ne sont pas blo-qués. Ajuster la colonne lave-linge/ sèche-linge de sorte ...
En cas d'anomalie 68 La porte ne s’ouvre pas. Problème Cause et solution Ouverture de porte impos-sible La porte est verrouillée pendant le cycle de lavage. Effleurez la touche sensitive Start/Stop . Sélectionnez Annulation programme ou Ajouter du linge . La porte est déverrouillée et vous pouve...
Nettoyage et entretien 71 Débrancher la colonne lave-linge/ sèche-linge du réseau élec- trique. Effectuez le nettoyage et l'entretien après l'utilisation de la colonnelave-linge/ sèche-linge. N'utilisez ni nettoyeur à haute pression ni jet d'eau pour nettoyer lacolonne lave-linge/ sèche-linge. ...
Nettoyage et entretien 72 Nettoyer le bac à produits, les compartiments et le si-phon avant utilisation. Après utilisation, nettoyez soigneusement la boîte à produits, lescompartiments à l'eau chaude pour les débarrasser des résidus delessive et des dépôts incrustés. En cas d'arrêt prolongé de l...
Nettoyage et entretien 73 1. Retirer le tube d'aspiration de son logement et le nettoyer l’eau chaude. Nettoyer également le tuyau sur lequel le tubed'aspiration est fixé. 2. Remettre le tube d’aspiration en place. Nettoyez le canal de l’adoucissant avec de l’eau chaude et unebrosse. Après plus...
Nettoyage et entretien 74 Nettoyer les filtres d'arrivée d'eau Le lave-linge est équipé de filtres destinés à protéger l'électrovanned’arrivée d’eau. Contrôler ces filtres tous les six mois environ, plussouvent en cas d’interruptions fréquentes sur le réseau d’alimentationen eau. Nettoyer les filtre...
Nettoyage et entretien 75 Nettoyer le filtre à peluches Un filtre à peluches en deux parties situé dans la zone de guidage del'air recueille les peluches qui s'accumulent. Retirez et démontez lefiltre à peluches pour le nettoyer. Contrôlez et nettoyez le filtre à peluches au plus tard lors du mes-sa...
Nettoyage et entretien 76 Démonter le filtreà peluches Flusensieb reinigen Ein zweiteiliges Flusensieb im Luftfüh-rungsbereich fängt anfallende Flusenauf. Es wird zur Reinigung entnommenund demontiert. , Kontrollieren und reinigen Sie das Flusensieb spätestens bei derPrüfmeldung: Luftwege reinigen ....
Nettoyage et entretien 77 Insérer le filtre àpeluches En cas d'encrassement important et visible, nettoyez également lazone de guidage de l'air avant de remettre en place le filtre à pe-luches nettoyé. Voir page suivante. Insérez les filtres à peluches intérieur et extérieur l'un dans l'autre. T...
Nettoyage et entretien 78 Nettoyer la zone du conduit d’air Contrôlez et nettoyez la zone du conduit d'air de temps en temps sielle est très sale. Nettoyage rapide Luftführungsbereich reinigen Den Luftführungsbereich von Zeit zuZeit kontrollieren und reinigen, wenneine starke Verschmutzung vorliegt!...
Nettoyage et entretien 79 Nettoyez également la zone située devant la turbine. Aspirez les peluches à l'aide d'un aspirateur. Retirez les peluches présentes à l'intérieur de la porte du filtre à pe-luches ouverte et du joint en caoutchouc. Veillez à ne pas endom-mager le joint. - Couvercle dan...
Nettoyage et entretien 80 Nettoyez le couvercle. Nettoyez la zone de guidage de l'air devant la turbine (ouvrez latrappe du filtre à peluches). Remontage Placez le couvercle sur le côté gauche ou droit de l'ouverture. Appuyez sur le couvercle jusqu'à ce que vous entendiez un déclicvers le cô...
Installation 81 Pour éviter les dégâts liés au gel, la colonne lave-linge/ sèche-lingene doit pas être installée dans des pièces exposés au gel. Conditions générales de fonctionnement La colonne lave-linge/ sèche-linge est prévue exclusivement pour uneutilisation en milieu professionnel et doit êt...
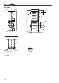
Installation 82 Maintenance facilitée Afin de faciliter les interventions du service après-vente, respecter lescotes minimales et la distance par rapport au mur avec accès indi-quées. Respectez impérativement les côtes minimales indiquées et la dis-tance par rapport au mur. Distance minimale par r...
Installation 83 Installer la colonne lave-linge/sèche-linge La colonne lave-linge/ sèche-linge ne doit être installée que par leservice après-vente ou un revendeur autorisé. Respecter lesconsignes dans les instructions d'installation. Cette colonne lave-linge/ sèche-linge est destinée au traitement ...
Installation 85 Sécurités de transport Démonter les sécurités de transport Desserrez le crochet de verrouillage et tournez la sécurité de trans-port gauche de 90° dans le sens des aiguilles d'une montre. Retirez la tige de transport. Desserrez le crochet de verrouillage et tournez la sécurité ...
Installation 86 Retirez la tige de transport. Fermez les orifices à l’aide des bouchons joints. Conservez les sécurités de transport. Elles doivent être montéespour tout transport de la machine. Installer les sécurités de transport Le remontage des sécurités de transport s'effectue dans l'ordr...
Installation 87 Ajustement Les pieds du lave-linge et le sol doivent être bien secs pour éviter àl'appareil de glisser pendant l'essorage. Une installation non conforme augmente la consommation d'eau etd'énergie, et peut provoquer un déplacement de l'appareil. Ce sont les quatre pieds à vis qui assu...
Installation 88 Vérifiez avec un niveau à bulles si le lave-linge est bien d'aplomb. Maintenez le pied (1) en place à l'aide d'une pince multiprise. Res-serrez le contre-écrou (2) contre la carrosserie à l'aide de la clé àfourche. Les quatre contre-écrous doivent être serrés contre la carrosseri...
Installation 89 Lors de l'installation, la colonne lave-linge/sèche-linge doit être fixée à l'aide de brides de serrage. Fixez les quatre pieds de la colonne lave-linge/sèche-linge à l'aidedes attaches fournies. Respectez les instructions de montage jointes. Mettre en place la partie supérieur...
Installation 90 Placez le sèche-linge du haut devant le lave-linge. Détachez les câbles qui dépassent sous le sèche-linge de l'embal-lage. Soulevez le sèche-linge aux endroits indiqués. Veillez à respecter ladistance par rapport à la paroi arrière. Lors de ces travaux, veillez à utiliser vot...
Installation 96 Raccordement à l’eau Selon l'ordonnance allemande sur l'eau potable, un clapet anti-re-tour doit être installé entre le robinet d'eau et le tuyau d'alimenta-tion en eau en Allemagne à partir du 21/03/2021 lors de la mise enservice de tous les appareils qui sont raccordés à l'eau chau...
Installation 97 Raccordement àl’eau froide Pour le raccordement à l'eau froide, 1 robinet d'eau avec raccord fileté¾" est requis. S'il n'y a pas de robinet d'eau, faites-le monter par un installateuragréé sur le réseau d'eau potable. Le tuyau d'arrivée d'eau froide n'est pas approprié pour un ra...
Installation 98 Note pour la Suisse Conformément à la norme SIA 385.351 / EN 1717 et à la recomman-dation de la SSIGE, il faut installer un anti-retour. Vous pouvez obtenirun anti-retour conforme aux normes en vigueur auprès de votre instal-lateur en sanitaire.
Installation 99 Pompe de vidange(suivant modèle) Dans le cas de modèles avec une pompe de vidange, le bain lessivielest pompé par une pompe de vidange avec une hauteur de refoule-ment maximale de 1 m. Le tuyau de vidange doit être posé sans coudes afin que le bain lessi-viel puisse s'écouler sans en...
Installation 100 Éviter les risques Si l'un des câbles d'alimentation de cet appareil est endommagé, ildoit être remplacé par le fabricant, son service après-vente ou unepersonne de qualification similaire. Veuillez respecter le schéma électrique fourni ! Alimentation en air et conduit d’évacuatio...
Installation 102 Tableau I Composants Longueur de tuyauéquivalente Flexible d’évacuation (alu-flex)* / tuyau (résis-tance thermique min. 80 °C) – 1 m posé droit/ ou 1 m tuyau droit– Coude à 45° (rayon de courbure = 0,25 m)– Coude à 90° (rayon de courbure = 0,25 m) 1,0 m0,6 m0,8 m L'utilisation d'un ...
Installation 103 A Tuyau de mur, avec insert de grille = 1 x 3,8 m Longueur du tuyau de réfé-rence = 3,8 m B/D 2 coudes, 90° = 2 x 0,8 m longueur équivalente = 1,6 m C 0,5 m de tuyau = 0,5 x 1 m longueur équivalente = 0,5 m Longueur totale de tuyau = 5,9 m Résultat : La longueur totale du tuyau est ...
Installation 104 N'utilisez que des matériaux résistants à la chaleur, avec une résis-tance à la température de 80 °C min. Abluftführung mit gestecktenRohren Sie benötigen – den Anschlussstutzen (liegt bei). – Rohre und Übergangsstücke aus dem Handel. Es dürfen nur wärmebeständige Ma-terialien mit e...
Installation 105 Il faut installer sur chaque séche-linge, un clapet anti-retour. Dans le cas contraire, le retour de l'eau de condensation risqued'endommager les sèche-linge et de compromettre la sécurité élec-trique. Pour l’installation de 3 à max. 5 sèche-linge, le diamètre de tuyau D doit être...
Installation 106 Information sur les appareils externes Une information sur le matériel externe apparaît. Validez en effleurant le symbole OK . Raccordez la Connector-Box avant la première mise en service, siprésente. Le lave-linge doit par conséquent être mis hors tension.Commencez ensuite la mi...
Installation 107 Veuillez noter que le statut de la Connector-Box doit être activé auniveau de l'opérateur si nécessaire. Interface LAN/WLAN Le lave-linge est équipé d'une interface WLAN/LAN pour l'échangede données. L'interface de données fournie par le port LAN est conforme à lanorme SELV (basse t...
Installation 108 Accessoires poursèche-linge Boîtier de commu-nication Le boîtier de communication disponible en option permet de raccor-der des dispositifs externes de Miele ou d'autres fabricants à une ma-chine Miele Professional. Le matériel externe comprend le système decaisse, le système de cha...
Mode exploitant lave-linge 109 Ouvrir le Mode exploitant Mettez le lave-linge en marche. 11:02 Programmes Favoris Exploitant Effleurez la touche sensitive Exploitant . L'écran passe au menu Mode exploitant . Ouvrir le Mode exploitant Mettez le lave-linge sous tension et ouvrez la por...
Mode exploitant lave-linge 111 Commande/affichage Langue Plusieurs langues d'affichage vous sont proposées. Le sous-menuLangue permet de choisir la langue d'exploitant principale. La langue d'utilisateur peut être modifiée le temps d'un programme àl'aide de la touche sensitive . Accès langue L'éc...
Mode exploitant lave-linge 112 Heure Une fois le format de temps sélectionné, l’heure peut être réglée. Format heure - 24 h - 12 h - Heure non affichée Régler - L’heure peut être réglée. Date La date peut être réglée une fois le format sélectionné. Format date - JJ.MM.AAAA - AAAA.MM.JJ - MM.JJ.AAAA ...
Mode exploitant lave-linge 114 Sélection du programme Commande Conseil : Commencez par effectuer tous les réglages et toutes les modifications nécessaires sur le lave-linge avant de sélectionner l'unedes options ci-dessous.En sélectionnant « Laverie-simple » ou « Logo laverie », une fois lemenu Mod...
Mode exploitant lave-linge 115 Paquets de pro-gramme La sélection du programme peut être étendue en activant des pro-grammes individuels à partir des paquets de programmes de groupecible. Les programmes sélectionnés (marqués en orange) dans les paquetsde programmes sont affichés à l'écran au moment ...
Mode exploitant lave-linge 117 Technique de procédé Infroissable La fonction Infroissable permet de réduire la formation de plis aprèsla fin du programme. Le tambour tourne encore jusqu'à 30 minutesaprès la fin du programme. Vous pouvez ouvrir la porte du lave-linge à tout moment. Réglage d’usine : ...
Mode exploitant lave-linge 118 La Connector Box doit être sélectionnée pour que les réglagespuissent être effectués dans le menu Dosage. Dosage automa-tique Le dosage automatique peut être activé ou désactivé. Le dosage automatique peut être sélectionné via la Connector-Box oule module KOM. Dosage P...
Mode exploitant sèche-linge 119 Ouvrir le Mode exploitant 11:02 Programmes Favoris Exploitant Aide Effleurez la touche sensitive pour retourner au Mode exploitant. Accès par code Le mode exploitant s'ouvre avec un code. Réglage usine : le code est 000 . Modifier le code Vous pouvez modif...
Mode exploitant sèche-linge 121 Le réglage de la date est terminé. Volume Le volume des différents signaux sonores peut être modifié. Le volume peut être modifié pour les sons suivants. - Volume signal de fin Le signal de fin signale la fin d'un programme de séchage. - Bip de touches - Mélodie d'acc...
Mode exploitant sèche-linge 122 - On ap.30 min. pas pdt progr L'écran reste allumé pendant le déroulement du programme, maiss'éteint 30 minutes après la fin de celui-ci. - Logo ap 30mn sauf pdt progr L'écran reste allumé pendant le déroulement du programme, mais30 minutes après la fin de celui-ci, l...
Mode exploitant sèche-linge 124 * La durée maximum est paramétrée lors de la première mise enservice. - Sélection progr. externe Un module de communication permet de sélectionner le pro-gramme à partir d'un terminal externe. Paquets de pro-gramme Vous pouvez ici définir la palette de programmes du s...
Mode exploitant sèche-linge 126 – Inversion rotation : 0 – 500 secondes – Pause : 100 – 300 secondes Classer les pro-grammes L'ordre des programmes peut être modifié sur la liste des pro-grammes et la liste des favoris. - Réglage usine : désactivé - activé Déplacer des pro-grammes/ des fa-voris Vous...
Mode exploitant sèche-linge 127 Refroidissem. sup-plém. Si le refroidissement avancé est activé, la température du tambourest vérifiée pendant environ 1 minute à la fin du programme avantque l'appareil ne passe en mode veille. Si la température est supé-rieure à 55 °C, le sèche-linge se refroidit à ...
Mode exploitant sèche-linge 130 Applications externes Clapet évacuat. airext. Le raccordement de dispositifs externes s'effectue via la ConnectorBox de Miele. Le décalage de temps entre l'activation du clapet d'évacuation d'airexterne et l'activation du moteur du tambour/ventilateur est réglé. Penda...
Mode exploitant sèche-linge 131 - Réglage usine : Non activé - Délestage avec 230V - Délestage avec 0V - Module COM Empêcher le dé-lestage Grâce à cette fonction, lors d'un signal de charge de pointe, l'exécu-tion d'un programme d'hygiène n'est pas modifiée pour autant. Lechauffage reste allumé. - R...
Mode exploitant sèche-linge 132 Le réseau n'est plus configuré. Pour pouvoir utiliser le réseau à nou-veau, vous devez établir une nouvelle connexion. – La connexion Wi-Fi est désactivée– La connexion Wi-Fi est restaurée aux valeurs d'usine Connexion réseau La date et l'heure peuvent être synchronis...
Mode exploitant sèche-linge 134 Paramètres de l'appareil Informations lé-galesLicences Open-Source Informations disponibles sur les licences. Droits d’auteur etlicences Miele utilise son propre logiciel ou un logiciel tiers non couvert parune licence open source, pour faire fonctionner et contrôler ...
Mise en réseau 135 Instructions d'appariement Pour connecter le lave-linge à votre réseau, procédez comme suit. Ouvrir le Mode exploitant Sélectionnez l'option Exploitant sur l'écran de l'appareil. Sélectionnez l'option Accès par code . Saisissez le code exploitant à 3 chiffres. Configurer la ...
Mise en réseau 136 - Serveur DNS IP = passerelle/routeur IP standard - Utilisation Mesh/répéteur : SSID et mot de passe identique à la passerelle/au routeur standard - Le SSID doit être visible en permanence Exigences du système pour le LAN - DHCP activé - multicastDNS/Bonjour/IGMP Snooping activé -...
Caractéristiques techniques 137 Caractéristiques de l’appareil PDW 909 Raccordement électrique Tension électrique voir plaque signalétique Fréquence voir plaque signalétique Consommation voir plaque signalétique Consommation voir plaque signalétique Protection par fusibles requise voir plaque signal...
Caractéristiques techniques 138 Arrivée d’air Diamètre d'arrivée d'air libre conseillée dans la pièce :(correspond à un triple diamètre d'évacuation d'un appareil). 339 cm² L'arrivée d'air doit être fournie au local d'installation en fonction du volume d'air évacué. Évacuation d’air Débit volumique ...
Caractéristiques techniques 139 Déclaration de conformité UE Par la présente, Miele déclare que ce colonne de lavage-séchage est conforme à la directive2014/53/EU.Le texte intégral de la déclaration de conformité UE est disponible à l'une des adresses sui-vantes : - www.miele.de/professional/index.h...
Protection des données Wi-Fi 140 Protection et sécurité des données Dès que vous avez activé la fonction de mise en réseau et que votreappareil est connecté à l'Internet, votre appareil envoie les donnéessuivantes au Cloud Miele : - numéro de fabrication de l’appareil - type d’appareil et caractéris...
Miele S.A.SZ.I. du Coudray9, avenue Albert EinsteinB.P. 100093151 Le Blanc-Mesnil Cedexwww.miele.fr/professional R.C.S. Bobigny B 708 203 088 Tél. : Fax. :Mail : Tél. :Fax. :Mail : Tél. :Mail : 01 49 39 44 44 01 49 39 44 38[email protected] 01 49 39 44 7801 49 39 34 10[email protected] 01 49 39 44 8...
Notice Miele PDW 909 [EL DP DD]






































































































































































Notice d'Installation Miele PDW 909 [EL DP DD]





























































































































































































































































Résumé
fr - Table des matières 47 Consignes d'installation ............................................................................................................. 48 Explication des consignes de sécurité et des avertissements sur la machine .................... 48 Conditions d'installation .............
fr - Consignes d'installation *INSTALLATION* 48 Explication des consignes de sécurité et des avertissementssur la machine Veuillez lire le mode d'emploi Lisez les instructions, par exemple les instructionsd'installation Attention : surfaces brûlantes Attention tension jusqu'à 1000 V ! Mise à la terr...
fr - Consignes d'installation *INSTALLATION* 50 Lors du transport des appareils, veillez à ce qu'ils ne basculent pas. Ne saisissez pas le lave-linge par la porte de chargement. La colonne lave-linge/ sèche-linge doit être placée sur une surface to-talement plane, horizontale et solide qui résis...
fr - Consignes d'installation *INSTALLATION* 51 Raccordement électrique Le branchement électrique doit être réalisé par un électricien forméet habilité qui est entièrement responsable du respect des normeset des directives d'installation électrique en vigueur. La colonne lave-linge/ sèche-linge ne...
fr - Consignes d'installation *INSTALLATION* 52 Ce dispositif (y compris la prise) doit être protégé contre tout réen-clenchement involontaire ou non autorisé, si une interruption perma-nente de l'alimentation en énergie n'est pas contrôlée depuis chaquezone d'accès. Conseil : Raccordez de préférenc...
fr - Consignes d'installation *INSTALLATION* 54 Raccordement de pompes doseuses L'appareil est équipé d'une interface pour les systèmes de dosage.Les adaptateurs correspondants pour le bain lessiviel pré-mélangé oula lessive liquide provenant de systèmes de dosage externes pour jus-qu'à 6 raccords d...
fr - Consignes d'installation *INSTALLATION* 55 Alimentation en air et conduit d’évacuation d’air Aération et purge L'air nécessaire au séchage est prélevé dans le local d'installation.Veillez donc à ce que la pièce soit suffisamment aérée, par exempleen aménageant des ouvertures d'aération non obtu...
fr - Consignes d'installation *INSTALLATION* 57 Tableau I Composants Longueur de tuyauéquivalente Flexible d’évacuation (alu-flex)* / tuyau (résis-tance thermique min. 80 °C) – 1 m posé droit/ ou 1 m tuyau droit– Coude à 45° (rayon de courbure = 0,25 m)– Coude à 90° (rayon de courbure = 0,25 m) 1,0 ...
fr - Consignes d'installation *INSTALLATION* 58 A Tuyau de mur, avec insert de grille = 1 x 3,8 m Longueur du tuyau de réfé-rence = 3,8 m B/D 2 coudes, 90° = 2 x 0,8 m longueur équivalente = 1,6 m C 0,5 m de tuyau = 0,5 x 1 m longueur équivalente = 0,5 m Longueur totale de tuyau = 5,9 m Résultat : L...
fr - Consignes d'installation *INSTALLATION* 59 Abluftführung mit gestecktenRohren Sie benötigen – den Anschlussstutzen (liegt bei). – Rohre und Übergangsstücke aus dem Handel. Es dürfen nur wärmebeständige Ma-terialien mit einer Temperaturbestän-digkeit von min. 80°C verwendetwerden. ^ Installieren...
fr - Consignes d'installation *INSTALLATION* 61 Options / Accessoires en option Des accessoires ne peuvent être rajoutés ou montés que s'ils sontexpressément autorisés par Miele.Le montage d'autres pièces exclut le bénéfice de la garantie. Accessoires pourlave-linge Connector Box La Connector Box pe...
fr - Caractéristiques techniques 68 Variantes de tension et caractéristiques électriques 3N AC 400 V EL Lave-linge Sèche-linge Tension électrique 3N AC 400 V 3N AC 400 V Fréquence 50 Hz 50/60 Hz Protection par fusibles requise (côté installation) Caractéristique de déclenchement du disjoncteur autom...
fr - Caractéristiques techniques 69 Évacuation d’air Débit volumique nominal maximal 320 m³/h Perte de pression maximale admissible 220 Pa Raccord d'évacuation, côté machine (diamètre externe) 100 mm Tuyau de raccordement, sur place (diamètre intérieur) 100 mm Température maximale de l'air évacué 80...
Guide rapide Miele PDW 909 [EL DP DD]
















































































































































































Résumé
fr - Table des matières 60 Votre contribution à la protection de l'environnement ................................................ 62 Votre ancien appareil ......................................................................................................... 62 Consignes de sécurité et mises en ga...
fr - Table des matières 61 Caractéristiques techniques .......................................................................................... 113 Caractéristiques de l’appareil PDW 909............................................................................ 113 Raccordement électrique ..........
fr - Votre contribution à la protection de l'environnement 62 Nos emballages Nos emballages protègent votre appareil des dommages pouvantsurvenir pendant le transport. Nous les sélectionnons en fonction decritères écologiques permettant d'en faciliter le recyclage. En participant au recyclage de vos...
fr - Consignes de sécurité et mises en garde 63 Documentation Ce document contient un condensé d'informations. Vous pouveztrouver le mode d'emploi complet et d'autres documents sur le siteinternet de Miele : https://www.miele.fr/professional/modes-d-emploi-177.htm Pour récupérer les documents, vous ...
fr - Consignes de sécurité et mises en garde 65 Utilisation conforme Ce lave-linge est exclusivement conçu pour laver des textiles por- tant la mention « lavable en machine ». Toute autre utilisation pourraits'avérer dangereuse. Miele décline toute responsabilité en cas d'utili-sation non conforme...
fr - Consignes de sécurité et mises en garde 66 Ne laissez pas les enfants sans surveillance à proximité d'une co- lonne lave-linge/ sèche-linge. Ne les laissez pas jouer avec la co-lonne. Les programmes de désinfection ne peuvent pas être interrompus, car le résultat de désinfection peut être l...
fr - Consignes de sécurité et mises en garde 67 Erreur d'utilisation prévisible N'utilisez jamais de détergents contenant des solvants pour net- toyer le tambour de votre colonne lave-linge/ sèche-linge. Ces pro-duits risquent de détériorer les pièces de l'appareil et de dégager desvapeurs toxique...
fr - Consignes de sécurité et mises en garde 68 Sécurité technique Vérifiez que votre colonne lave-linge/ sèche-linge ne présente pas de dommages externes avant de l'installer. Si la colonne lave-linge/sèche-linge est endommagée, elle ne doit en aucun cas être installéeet mise en service. Seul u...
fr - Consignes de sécurité et mises en garde 70 Vous pouvez éviter une sous-pression sur le lieu d'installation, si vousveillez à aérer suffisamment la pièce en prenant les mesures sui-vantes (exemples) : - Installez des orifices d'aérations non verrouillables dans la paroi extérieure - Utilisez le ...
fr - Consignes de sécurité et mises en garde 74 Dommages sur les composants et liés au chlore Plus vous utilisez de chlore, plus les composants risquent d'être abîmés. L'utilisation de produits à base de chlore, comme l'hypochlorite de sodium et les blanchiments au chlore en poudre peut en fonct...
fr - Consignes de sécurité et mises en garde 75 Accessoires Des accessoires ne peuvent être rajoutés ou montés que s'ils sont expressément autorisés par Miele. Si d’autres pièces sont rajoutéesou montées, les prétentions à la garantie et/ou fondées sur la respon-sabilité du fait du produit devienn...
fr - Commande 78 Bandeau de commande ⑥ ① ② ③ ④ ⑤ ⑦ ⑧ ⑨ ⑩ ⑪ ⑫ a Sèche-linge touche sensitivelangue pour sélectionner la langue utilisateur ac-tuelle. À la fin du programme, la langue del’exploitant s’affiche à nouveau. b Sèche-linge touche sensitive Retour Revient au niveau précédent dans le me...
fr - Commande 79 Touches sensitives et écran tactile Les touches sensitives , et Start/Stop ainsi que les affi- chages à l’écran réagissent au contact du doigt. Tout contact estconfirmé par un bip sonore. Vous pouvez modifier ou désactiver levolume du bip sonore (voir chapitre « Mode exploitant...
fr - Commande 80 Menu principal Après avoir enclenché l'appareil, le menu principal apparaît à l'écran.Vous pouvez accéder aux principaux sous-menus à partir du menuprincipal. Effleurez la touche sensitive pour retourner à tout moment au me- nu principal. Les valeurs réglées au préalable ne sont ...
fr - Commande 82 Réglage des don-nées chiffrées Certains menus permettent le réglage de valeurs numériques. Dans l'exemple suivant, le réglage de l'heure est effectué. L'accès àce niveau est décrit au chapitre « Mode exploitant ». OK 12 00 10 58 14 02 11 59 13 01 Heure Entrez les chiffres e...
fr - Commande 83 Menu déroulant L'exemple suivant décrit l'affichage d'un programme de lavage encours. L'accès à ce niveau est décrit au chapitre « Démarrage duprogramme - Fin de programme ». 11:02 2:27 Blanc Laver et chauffer Tps rest. Statut Si une barre orange apparaît en haut de l'écran...
fr - Commande 87 Lavage avec laboîte à produits Dosage de la les-sive via la boîte àproduits Pour les programmes standard, verser la lessive en poudre pour lelavage principal dans le compartiment . Si vous le souhaitez, verser la lessive pour le prélavage dans le bac à produits , l'adoucissa...
fr - Commande 90 La plupart des réglages de programme sont déjà déterminés pourles programmes favoris et ne peuvent pas être modifiés. Sélectionner lesparamètres duprogramme Sélectionner lacharge Pour permettre un dosage externe en fonction de la charge et uncycle adapté, vous pouvez indiquer la cha...
fr - Commande 94 Le linge oublié dans le tambour pourrait rétrécir ou déteindre lorsde la prochaine lessive.Retirez le linge du tambour. Vérifiez qu'aucun corps étranger n'est resté coincé dans le jointd'étanchéité de la porte. Arrêtez le lave-linge avec la touche . Conseil : Laissez le bac à...
fr - Commande 95 Symboles d'entre-tien Séchage température normale/élevée température réduite* * Sélectionnez Délicat . sèche-linge déconseillé Fer à repasser et repasseuse brûlant très chaud chaud Non repassable 2. Remplir lesèche-linge delinge Remplir le sèche-linge de linge Les text...
fr - Commande 98 5. Démarrer un programme Monnayeur (en op-tion) Pour utiliser le monnayeur, suivez les instructions de paiement quis'affichent à l'écran. Perte de valeur possible lors de l'ouverture de la porte de charge-ment ou de l'annulation du programme.Selon le réglage, l'ouverture de la porte...
fr - Commande 99 « sauter ». L'électronique adaptative du sèche-linge s'ajuste pendantle programme de séchage en cours. La durée du programme affichéedevient de plus en plus précise. Lors des premières utilisations des programmes, le temps affichés'écarte parfois considérablement du temps de séchage...
fr - En cas d'anomalie 100 Conseils en cas de panne Déverrouillage d'urgence de la porte en cas de panne de courant La porte de chargement ne s’ouvre pas. Attention ! Tambour en fonctionnement et risque de brûlures. Avant de poser la clé Torx, vérifiez que la machine est hors tension, le tambour e...
fr - En cas d'anomalie 101 Service après-vente En cas de pannes, contactez le service après-vente. Veuillez indiquer au service après-vente le modèle de la machine, le numéro de série (SN)et le numéro de matériel (M.-Nr.). Ces indications figurent sur la plaque signalétique. Elleest collée porte ouv...
fr - En cas d'anomalie 102 Impossible de démarrer un programme. Problème Cause et solution L'écran reste sombre et latouche sensitive Start/ Stop ne s'allume pas et ne clignote pas. La colonne lave-linge/sèche-linge n'a pas de courant. Vérifiez si la colonne lave-linge/ sèche-linge est activée. ...
fr - En cas d'anomalie 103 Annulation de programme et message d'anomalie Problème Cause et solution F - Anomalie vidange. Si le redémarrage échoue,contactez le service après-vente. L’évacuation d’eau est bloquée ou gênée. Le tuyau de vi-dange est placé trop haut. Nettoyez les filtres et la pompe...
fr - En cas d'anomalie 105 Résultat de lavage insatisfaisant Problème Cause et solution Le résultat de lavage n’estpas satisfaisant avec de lalessive liquide. La lessive liquide ne contient pas d’agent de blanchiment.Les taches de fruit, de café ou de thé ne sont donc pastoujours éliminées. Utilis...
fr - En cas d'anomalie 107 Problème Cause et solution Une fois sec, le linge enfibres synthétiques estchargé d'électricité sta-tique. Les fibres synthétiques ont tendance à se charger en élec-tricité statique. Pendant le lavage en machine, l'utilisation d'un assou-plissant au dernier rinçage peut ...
fr - En cas d'anomalie 109 Problèmes généraux avec la colonne lave-linge/ sèche-linge Problème Cause et solution La colonne lave-linge/sèche-linge n'est pas im-mobile pendant l'essorage. Les pieds de l’appareil sont mal réglés et ne sont pas blo-qués. Ajuster la colonne lave-linge/ sèche-linge de ...
fr - En cas d'anomalie 110 La porte ne s’ouvre pas. Problème Cause et solution Ouverture de porte impos-sible La porte est verrouillée pendant le cycle de lavage. Effleurez la touche sensitive Start/Stop . Sélectionnez Annulation programme ou Ajouter du linge . La porte est déverrouillée et vous...
fr - Caractéristiques techniques 113 Caractéristiques de l’appareil PDW 909 Raccordement électrique Tension électrique voir plaque signalétique Fréquence voir plaque signalétique Consommation voir plaque signalétique Consommation voir plaque signalétique Protection par fusibles requise voir plaque s...
fr - Caractéristiques techniques 114 Arrivée d’air Diamètre d'arrivée d'air libre conseillée dans la pièce :(correspond à un triple diamètre d'évacuation d'un appareil). 237 cm² L'arrivée d'air doit être fournie au local d'installation en fonction du volume d'air évacué. Évacuation d’air Débit volum...
fr - Caractéristiques techniques 115 Déclaration de conformité UE Par la présente, Miele déclare que ce colonne de lavage-séchage est conforme à la direc-tive 2014/53/EU.Le texte intégral de la déclaration de conformité UE est disponible à l'une des adressessuivantes : - www.miele.de/professional/in...
fr - Protection des données Wi-Fi 116 Protection et sécurité des données Dès que vous avez activé la fonction de mise en réseau et que votreappareil est connecté à l'Internet, votre appareil envoie les donnéessuivantes au Cloud Miele : - numéro de fabrication de l’appareil - type d’appareil et carac...
Other Miele Autres Manuals
-
Miele APWM 066 Notice d'Installation
-
Miele APWM 062 Notice d'Installation
-
Miele APWM 065 Notice d'Installation
-
Miele APWM 020 Manuel d'utilisation
-
Miele APWM 020 Notice d'Installation
-
Miele SC Notice d'Installation
-
Miele PR Notice d'Installation
-
Miele FP 900 Notice d'Installation
-
Miele RP 900 Notice d'Installation
-
Miele APWM 019 Manuel d'utilisation
-
Miele APWM 019 Notice d'Installation
-
Miele A 830/1 Manuel d'utilisation
-
Miele TT 86 Manuel d'utilisation
-
Miele RP 1150 Notice d'Installation
-
Miele UG 5010 Notice d'Installation
-
Miele UO 5010 Notice d'Installation
-
Miele APCL 001 Notice d'Installation
-
Miele E 473/2 Manuel d'utilisation
-
Miele APRI 312 Notice d'Installation
-
Miele DOS K 85 flex Notice d'Installation