Page 2 - ATTENTION; MISE EN GARDE; ATTENTION; : POUR RÉDUIRE LES RISQUES DE CHOC; ATTENTION
FR-2 Le symbole de l’éclair avec une flèche dans un triangle équilatéral est destiné à alerter l’utilisateur de la présence de « tension dangereuse » non isolée à l’intérieur du produit, celle-ci étant d’une magnitude sufisante pour constituer un risque de choc électrique. Le point d’exclamation dan...
Page 4 - Table des matières
FR-4 Table des matières Consignes de sécurité importantes......................................................................................................... 5Vue extérieure du projecteur ..............................................................................................................
Page 5 - Consignes de sécurité importantes
FR-5 FRAN ÇAIS Consignes de sécurité importantes Veuillez lire toutes ces instructions concernant votre projecteur et conservez ce manuel afin de pouvoir le consulter ultérieurement. Conformez-vous à toutes les mises en garde et à toutes les instructions figurant sur le projecteur. 1. Lisez les inst...
Page 7 - Vue extérieure du projecteur; Verrouillage Kensington; Face avant/supérieure
FR-7 FRAN ÇAIS Vue extérieure du projecteur 1. Tableau de commande externe (Voir « Projecteur » à la page 8 pour plus d’informations.) 2. Couvercle de la lampe 3. Système de ventilation (sortie d’air chaud) 4. Bouton à dégagement rapide 5. Couvercle de l’objectif 6. Molettes de mise au point 7. Capt...
Page 8 - Commandes et fonctions; Projecteur
FR-8 Commandes et fonctions Projecteur 1. Molette de mise au point Règle la mise au point de l’image projetée. Voir « Réglage fin de la taille et de la netteté de l’image » à la page 25 pour plus d’informations. 2. POWER (Voyant de l’alimentation) S’allume ou clignote lorsque le projecteur est en co...
Page 9 - Télécommande
FR-9 FRAN ÇAIS Télécommande 1. Alimentation (ALLUMÉ/VEILLE) Permet de faire basculer le projecteur entre les modes veille et activé. Voir « Mise en marche du projecteur » à la page 21 et « Arrêt du projecteur » à la page 34 pour plus d’informations. 2. FREEZE Met en pause l’image projetée. Voir « Ar...
Page 10 - Utilisation de la télécommande pour la première fois; Portée efficace de la télécommande
FR-10 Utilisation de la télécommande pour la première fois Tirez la languette avant d’utiliser la télécommande. Portée efficace de la télécommande Le capteur à infrarouge (IR) de la télécommande se trouve à l’avant et du projecteur. La télécommande doit être maintenue à un angle perpendiculaire de 3...
Page 11 - Positionnement du projecteur; Choix de l’emplacement; Sol arrière; Plafond avant
FR-11 FRAN ÇAIS Positionnement du projecteur Choix de l’emplacement Vous pouvez choisir l’emplacement du projecteur en fonction de la disposition de la pièce ou de vos préférences. Tenez compte de la taille et de l’emplacement de votre écran, de l’emplacement d’une prise de courant adéquate, ainsi q...
Page 12 - Identification de la taille de projection souhaitée; Lorsque des stries fines sont observées sur les images projetées
FR-12 Identification de la taille de projection souhaitée La distance entre la lentille du projecteur et l’écran, le réglage du zoom (si disponible) et le format vidéo ont chacune une incidence sur la taille de l’image projetée. 4:3 est le format natif du EX321U-ST. Pour projeter une image au format...
Page 14 - Emplacement du projecteur; Projection avant
FR-14 Emplacement du projecteur La taille de l’image varie selon la distance entre l’écran et le projecteur. Projection avant (Standard) EX321U-ST EW331U-ST Écran Distance de l’écran : L Hd Taille de la diagonale Largeur : W Hauteur : H pouce cm pouce cm pouce cm pouce m pouce cm 40 102 32 81 24 61 ...
Page 16 - Connexion; Connexion d’un ordinateur ou d’un moniteur; Connexion à un ordinateur; AUDIO IN
FR-16 Connexion Pour connecter la source d’un signal au projecteur, procédez comme suit: 1. Mettez préalablement tous les appareils hors tension. 2. Utilisez les câbles appropriés pour chaque source. 3. Branchez les câbles correctement. • Voir le guide du propriétaire de chaque appareil pour les dét...
Page 17 - Connexion d’un moniteur; Pour connecter le projecteur à un moniteur :; MONITOR OUT; Connexion d’appareils vidéo composantes
FR-17 FRAN ÇAIS Connexion d’un moniteur Si vous souhaitez visualiser un gros plan de votre présentation sur un moniteur en plus de l’écran, vous pouvez connecter la prise de sortie de signal MONITOR OUT du projecteur à un moniteur externe en suivant les instructions ci-dessous: Pour connecter le pro...
Page 18 - Connexion à un appareil HDMI; Pour connecter le projecteur à un appareil HDMI :; HDMI; Connexion d’un appareil vidéo composantes
FR-18 Connexion à un appareil HDMI Utilisez un câble HDMI lors de la connexion entre le projecteur et des appareils HDMI. Pour connecter le projecteur à un appareil HDMI : 1. Prenez un câble HDMI et connectez une extrémité au port de sortie HDMI de l’appareil vidéo. 2. Connectez l’autre extrémité du...
Page 19 - Connexion d’un périphérique S-Vidéo; Pour connecter le projecteur à un périphérique S-Vidéo:
FR-19 FRAN ÇAIS Le chemin de connexion final doit être similaire à celui du diagramme suivant: Si l’image vidéo sélectionnée ne s’affiche pas lors de la mise sous tension du projecteur et que la source vidéo sélectionnée est correcte, vérifiez que le périphérique vidéo est sous tension et fonctionne...
Page 20 - Connexion d’un périphérique vidéo composite; Pour connecter le projecteur à un périphérique vidéo composite:; VIDEO
FR-20 Connexion d’un périphérique vidéo composite Examinez votre périphérique vidéo pour déterminer s’il est équipé d’une série de sorties vidéo composite inutilisées: • Si c’est le cas, vous pouvez continuer à suivre cette procédure. • Dans le cas contraire, il vous faudra trouver une autre méthode...
Page 21 - Fonctionnement; Mise en marche du projecteur; Alimentation; Aucun signal
FR-21 FRAN ÇAIS Fonctionnement Mise en marche du projecteur 1. Branchez le cordon d’alimentation au projecteur et à une prise murale. Allumez l’interrupteur de la prise murale (le cas échéant). Vérifiez que le POWER (Voyant de l’alimentation) du projecteur est orange une fois l’appareil mis sous ten...
Page 22 - Utilisation des menus; Langue
FR-22 Utilisation des menus Le projecteur offre une fonction d’affichage des menus à l’écran permettant d’effectuer différents réglages et paramétrages. Vous trouverez ci-dessous une vue d’ensemble du menu. Voici un exemple sur comment définir la langue des menus. 1. Appuyez sur le bouton MENU/EXIT ...
Page 23 - Utilisation de la fonction de mot de passe; Définition d’un mot de passe; Oubli du mot de passe; Procédure de rappel de mot de passe
FR-23 FRAN ÇAIS Utilisation de la fonction de mot de passe À des fins de sécurité, le projecteur est doté d’une fonction de protection par mot de passe afin d’empêcher toute utilisation non autorisée. Le mot de passe peut être défini via le menu à l’écran. Pour plus d’informations sur l’utilisation ...
Page 24 - Désactivation de la fonction de mot de passe; Changement de signal d’entrée; Modification de l’espace couleur
FR-24 4. Entrez un nouveau mot de passe. Les chiffres saisis seront affichés à l’écran sous la forme d’astérisques. Notez le mot de passe choisi dans ce manuel de manière à pouvoir le retrouver facilement. Mot de passe : __ __ __ __ __ __ Conservez ce nombre dans un endroit sûr. 5. Confirmez le nouv...
Page 25 - Ajustement de l’image projetée; Ajustement de l’angle de projection; Réglage automatique de l’image; AUTO; Réglage fin de la taille et de la netteté de l’image; Correction trapézoïdale
FR-25 FRAN ÇAIS Ajustement de l’image projetée Ajustement de l’angle de projection Le projecteur est pourvu d’un pied de réglage à dégagement rapide et d’un pied de réglage arrière. Ils permettent de régler la hauteur de l’image et l’angle de projection. Pour régler le projecteur, procédez comme sui...
Page 26 - Agrandir et rechercher des détails
FR-26 • Utilisation de la télécommande Appuyez sur / sur le projecteur ou la télécommande pour afficher la page de correction trapézoïdale. Appuyez sur pour corriger la distorsion trapézoïdale en haut de l’image. Appuyez sur pour corriger la distorsion trapézoïdale en bas de l’image. • Utilisation d...
Page 27 - Sélection du format; AFFICHAGE; À propos du format; Auto
FR-27 FRAN ÇAIS Sélection du format Le format correspond au rapport entre la largeur de l’image et sa hauteur. Le format de la plupart des téléviseurs analogiques et ordinateurs est de 4:3, et le format des téléviseurs numériques et des DVD est généralement de 16:9. Le traitement numérique du signal...
Page 28 - Plein
FR-28 5. Plein : Met une image à l’échelle en taille plein écran (16:10). L’image est projetée pour correspondre à l’écran entier. (EW331U-ST seulement) Image 4:3 Image 16:9 Image 16:10
Page 29 - Optimisation de l’image; Sélection d’un mode d’image; Modes d’image pour différents types de signaux
FR-29 FRAN ÇAIS Optimisation de l’image Sélection d’un mode d’image Le projecteur comporte plusieurs modes d’image prédéfinis pour vous permettre de choisir le mode le mieux adapté à votre environnement d’exploitation et au type d’image du signal d’entrée. Pour sélectionner le mode souhaité, suivez ...
Page 30 - Réglage précis de la qualité de l’image dans les modes utilisateur
FR-30 Réglage précis de la qualité de l’image dans les modes utilisateur En fonction du type de signal sélectionné, des fonctions définissables par l’utilisateur sont disponibles lorsque le Mode Util. 1 ou Mode Util. 2 est sélectionné. Vous pouvez ajuster ces fonctions selon vos besoins. Ajustement ...
Page 31 - Gestion couleur 3D; Utiliser Écran mural
FR-31 FRAN ÇAIS Gestion couleur 3D Dans la plupart des installations, la gestion des couleurs ne sera pas nécessaire, telles que dans une salle de classe, une salle de réunion ou dans les situations où les lumières restent allumées, ou lorsque les fenêtres laissent rentrer la lumière dans la pièce. ...
Page 32 - Réglage du minuteur de présentation; Pour annuler le minuteur, procédez comme suit.
FR-32 Réglage du minuteur de présentation Le minuteur de présentation permet d’indiquer à l’écran la durée d’une présentation afin de vous permettre de mieux gérer votre temps. Suivez les étapes ci-dessous pour utiliser cette fonction: 1. Appuyez sur TIMER SET UP sur la télécommande ou allez au menu...
Page 33 - Comment utiliser le bouton TIMER ON?; Masquage de l’image; Arrêt sur image
FR-33 FRAN ÇAIS Comment utiliser le bouton TIMER ON? TIMER ON est une touche multifonction. • Si vous appuyez sur cette touche alors que le minuteur de présentation est désactivé, un message de confirmation s’affiche. Vous pouvez décider d’activer ou non le minuteur en suivant les instructions à l’é...
Page 34 - Réglage du son; Désactivation du son; Personnalisation de l’affichage des menus du projecteur
FR-34 Réglage du son Les réglages du son effectués comme suit auront effet sur le haut-parleur du projecteur. Assurez-vous d’avoir établi les connexions appropriées à l’entrée audio du projecteur. Voir « Connexion » à la page 16 pour la connexion de l’entrée audio. Désactivation du son Pour désactiv...
Page 35 - Mise hors tension directe
FR-35 FRAN ÇAIS • Si le projecteur n’est pas éteint correctement, les ventilateurs se mettront à tourner pendant quelques minutes pour refroidir la lampe lors du redémarrage du projecteur. Appuyez à nouveau sur Alimentation pour démarrer le projecteur une fois les ventilateurs arrêtés et le POWER (V...
Page 36 - Regarder du contenu 3D
FR-36 3D Regarder du contenu 3D Vous pouvez profiter de contenu 3D avec ce projecteur. Afin de regarder le contenu 3D, vous devez avoir les éléments suivants : 1. Contenus vidéo 3D à séquence de champ 2. Lunettes à obturation électronique actives DLP Link (Séquence de champ : Le système qui affiche ...
Page 38 - Supervision et contrôle par ordinateur; Configurer les Paramètres de contrôle réseau; Si vous êtes dans un environnement DHCP :
FR-38 Supervision et contrôle par ordinateur Avec une connexion de câble réseau appropriée et des paramètres de configuration réseau, vous pouvez faire fonctionner le projecteur depuis un ordinateur avec un navigateur Web ou l’application PJLink™ quand l’ordinateur et le projecteur sont correctement...
Page 40 - Paramètres de contrôle réseau
FR-40 iii. Vous pouvez ajuster les Paramètres de contrôle réseau . iv. Une fois définis, l’accès à la page d’utilisation en réseau à distance sur ce projecteur est protégé par mot de passe. Pour activer cette fonction, cochez la case devant « Activer » et saisissez le mot de passe souhaité dans la c...
Page 41 - Contrôler le projecteur avec l’application PJLinkTM; À propos de PJLinkTM; Paramètres de contrôle; Commandes PJLink; Commande
FR-41 FRAN ÇAIS Contrôler le projecteur avec l’application PJLink™ Ce projecteur prend en charge le protocole standard PJLink™ pour le contrôle du projecteur et vous pouvez contrôler et superviser le fonctionnement du projecteur en utilisant la même application sur des projecteurs de différents modè...
Page 42 - Comment utiliser les fonctions réseau; Contrôlé par; Glossaire
FR-42 • PJLink "INPT?" aura une réponse seulement quand la source est affichée à l'écran. En absence de signal, seul "Heure indisponible !" aura une réponse. • Le contrôle mentionné ci-dessus peut ne pas être réalisé correctement ou les données de supervision peuvent ne pas être obte...
Page 43 - Système de menus; Menu principal
FR-43 FRAN ÇAIS Utilisation des menus Système de menus Notez que les menus à l’écran varient en fonction du type de signal sélectionné. Menu principal Sous-menu Options 1. AFFICHAGE Écran mural Désact./Jaune clair/Rose/Vert clair/Bleu/Tableau noir Format Auto/Réel/Plein (EW331U-ST seulement)/4:3/16:...
Page 45 - Description de chaque menu; FONCTION; nu AF
FR-45 FRAN ÇAIS Description de chaque menu FONCTION DESCRIPTION Écran mural Corrige la couleur de l’image projetée si le support de projection n’est pas blanc. Voir « Utiliser Écran mural » à la page 31 pour plus d’informations. Format Quatre options permettent de définir le format de l’image en fon...
Page 46 - SOU
FR-46 FONCTION DESCRIPTION Paramètre Les modes d’image prédéfinis vous permettent d’optimiser le réglage de l’image en fonction du type de programme que vous souhaitez projeter. Voir « Sélection d’un mode d’image » à la page 29 pour plus d’informations. Luminosité Règle la luminosité de l’image. Voi...
Page 47 - Refroidissement rapide; Sortie veille moniteur; Réglages des menus
FR-47 FRAN ÇAIS FONCTION DESCRIPTION Refroidissement rapide La sélection de Activ. active la fonction et raccourcit le temps de refroidissement du projecteur de quelques secondes. Si vous essayez de redémarrer le projecteur immédiatement après le processus de refroidissement rapide, il peut ne pas s...
Page 48 - Rétablir tous les param.; Source; Résolution
FR-48 FONCTION DESCRIPTION Paramètres de contrôle réseau Si vous utilisez un câble réseau pour la connexion, voir « Supervision et contrôle par ordinateur » à la page 38 pour des détails. Si vous utilisez un câble RS-232C pour la connexion, allez au menu CONFIG. SYSTÈME : avancée > Paramètres de ...
Page 49 - Entretien; Entretien du projecteur; Nettoyage de la lentille; Nettoyage du boîtier du projecteur; Entreposage du projecteur; Transport du projecteur
FR-49 FRAN ÇAIS Entretien Entretien du projecteur Votre projecteur ne nécessite que peu d’entretien. La seule chose à laquelle vous devez veiller est la propreté de la lentille. La lampe est la seule pièce de votre projecteur que vous pouvez retirer. Contactez votre revendeur si d’autres pièces doiv...
Page 50 - Informations relatives à la lampe; Familiarisation avec les heures de la lampe; Augmenter la durée de vie de la lampe; Régler Mode lampe en Bas
FR-50 Informations relatives à la lampe Familiarisation avec les heures de la lampe Lorsque le projecteur fonctionne, la durée d’utilisation de la lampe (en heures) est calculée automatiquement par le compteur horaire intégré. La méthode de calcul de l’équivalent heures lampe est la suivante: (Équiv...
Page 51 - Quand remplacer la lampe; État
FR-51 FRAN ÇAIS Quand remplacer la lampe Lorsque le voyant de la lampe est rouge ou qu’un message conseillant de remplacer la lampe s’affiche, installez une nouvelle lampe ou consultez votre revendeur. L’utilisation d’une lampe usagée pourrait entraîner des dysfonctionnements au niveau du projecteur...
Page 52 - Remplacement de la lampe
FR-52 Remplacement de la lampe Lampe de rechange pour EX321U-ST/EW331U-ST : VLT-EX320LP • Soyez sûr de remplacer la lampe par une nouvelle lampe vendue séparément qui est exclusive pour ce projecteur. Contactez votre revendeur pour acheter la lampe. • Pour éviter tout risque d’électrocution, mettez ...
Page 55 - Voyants
FR-55 FRAN ÇAIS Voyants Voyant État et description Power Temp Lamp Événements - alimentation Orange Désact. Désact. Mode veille Vert Clignotant Désact. Désact. Mise en marche Vert Désact. Désact. Fonctionnement normal Orange Clignotant Désact. Rouge • 90 secondes de refroidissement sont nécessaires ...
Page 56 - Dépannage
FR-56 Dépannage Le projecteur ne s’allume pas. Pas d’image Image brouillée La télécommande ne fonctionne pas Le mot de passe est incorrect La fonction réseau ne peut pas être utilisée Origine Solution Le cordon d’alimentation n’alimente pas l’appareil en électricité. Insérez le cordon d’alimentation...
Page 57 - Caractéristiques; Caractéristiques du projecteur
FR-57 F RANÇA IS Caractéristiques Caractéristiques du projecteur Toutes les caractéristiques peuvent être modifiées sans notification préalable. Général Nom de produit Projecteur DLP™ Nom de modèle EX321U-ST EW331U-ST Caractéristiques optiques Résolution 1024 x 768 XGA 1280 x 800 WXGA Système d’affi...
Page 58 - Fréquences de fonctionnement pour l’entrée PC
FR-58 Dimensions 282 mm (L) x 92 mm (H) x 229 mm (P) (Non compris la protrusion) Fréquences de fonctionnement Fréquences de fonctionnement pour l’entrée PC * Le projecteur ne prend en charge que la fréquence (720 x 400) avec 5 lignes (R, G, B, H, V). * Le EX321U-ST ne prend pas en charge la fréquenc...
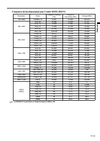
Page 59 - Fréquences de fonctionnement pour l’entrée HDMI (HDCP)
FR-59 FRAN ÇAIS Fréquences de fonctionnement pour l’entrée HDMI (HDCP) * Le EX321U-ST ne prend pas en charge la fréquence WXGA_120. Résolution Mode Fréquence verticale (Hz) Fréquence horizontale (kHz) Horloge (MHz) 720 x 400 720x400_70 70,087 31,469 28,3221 640 x 480 VGA_60 59,940 31,469 25,175 VGA_...
Page 60 - Pièce de rechange
FR-60 Fréquences de fonctionnement pour l’entrée YP b P r composantes L’affichage d’un signal 1080i(1125i) à 60Hz ou 1080i(1125i) à 50Hz peut avoir pour résultat une légère vibration de l’image. Fréquences de fonctionnement pour les entrées Vidéo et S-Vidéo Contenu de la boîte Pièce de rechange Form...