Page 2 - MISE EN GARDE; : POUR RÉDUIRE LES RISQUES DE CHOC; ATTENTION
FR-2 Le symbole de l’éclair avec une flèche dans un triangle équilatéral est destiné à alerter l’utilisateur de la présence de « tension dangereuse » non isolée à l’intérieur du produit, celle-ci étant d’une magnitude sufisante pour constituer un risque de choc électrique. Le point d’exclamation dan...
Page 4 - Table des matières
FR-4 Table des matières Consignes de sécurité importantes......................................................................................................... 5Vue extérieure du projecteur ..............................................................................................................
Page 5 - Consignes de sécurité importantes
FR-5 FRAN ÇAIS Consignes de sécurité importantes Veuillez lire toutes ces instructions concernant votre projecteur et conservez ce manuel afin de pouvoir le consulter ultérieurement. Conformez-vous à toutes les mises en garde et à toutes les instructions figurant sur le projecteur. 1. Lisez les inst...
Page 7 - Vue extérieure du projecteur; Verrouillage Kensington; Face avant/supérieure
FR-7 FRAN ÇAIS Vue extérieure du projecteur 1. Tableau de commande externe (Voir « Projecteur » à la page 8 pour plus d’informations.) 2. Couvercle de la lampe 3. Système de ventilation (sortie d’air chaud) 4. Bouton à dégagement rapide 5. Molettes de mise au point et de zoom 6. Capteur à infrarouge...
Page 8 - Commandes et fonctions; Projecteur
FR-8 Commandes et fonctions Projecteur 7. MENU/EXIT Permet d’activer l’affichage des menus à l’écran. Retourne au menu précédent de l’affichage des menus à l’écran, quitte et enregistre les paramètres de menu. Voir « Utilisation des menus » à la page 22 pour plus d’informations. 8. TEMP (Voyant d'av...
Page 9 - Télécommande
FR-9 FRAN ÇAIS Télécommande 1. Alimentation (ALLUMÉ/VEILLE) Permet de faire basculer le projecteur entre les modes veille et activé. Voir « Mise en marche du projecteur » à la page 21 et « Arrêt du projecteur » à la page 33 pour plus d’informations. 2. FREEZE Met en pause l’image projetée. Voir « Ar...
Page 10 - Utilisation de la télécommande pour la première fois; Portée efficace de la télécommande; Remplacement de la pile de la télécommande
FR-10 Utilisation de la télécommande pour la première fois Tirez la languette avant d’utiliser la télécommande. Portée efficace de la télécommande Le capteur à infrarouge (IR) de la télécommande se trouve à l’avant et du projecteur. La télécommande doit être maintenue à un angle perpendiculaire de 3...
Page 11 - Positionnement du projecteur; Choix de l’emplacement; Sol arrière; Plafond avant
FR-11 FRAN ÇAIS Positionnement du projecteur Choix de l’emplacement Vous pouvez choisir l’emplacement du projecteur en fonction de la disposition de la pièce ou de vos préférences. Tenez compte de la taille et de l’emplacement de votre écran, de l’emplacement d’une prise de courant adéquate, ainsi q...
Page 12 - Identification de la taille de projection souhaitée; Lorsque des stries fines sont observées sur les images projetées
FR-12 Identification de la taille de projection souhaitée La distance entre la lentille du projecteur et l’écran, le réglage du zoom (si disponible) et le format vidéo ont chacune une incidence sur la taille de l’image projetée. 4:3 est le format natif du EX321U/EX241U. Pour projeter une image au fo...
Page 13 - donnée
FR-13 FRAN ÇAIS Comment déterminer la position du projecteur pour une taille d’écran donnée 1. Déterminez le format de votre écran, 16:9 ou 4:3. Si vous utilisez un écran 4:3, reportez-vous au tableau intitulé « (Standard) » . Si vous utilisez un écran 16:9, reportez-vous au tableau intitulé « (16:9...
Page 14 - Emplacement du projecteur; Projection avant
FR-14 Emplacement du projecteur La taille de l’image varie selon la distance entre l’écran et le projecteur. Projection avant (Standard) EX321U (4:3) EX241U (4:3) Taille d’image Distance de l’écran : L Hd Taille de la diagonale Largeur : W Hauteur : H Plus courte (Grand) Plus grande (Télé) pouce cm ...
Page 16 - Connexion; Connexion d’un ordinateur ou d’un moniteur; Connexion à un ordinateur; AUDIO IN
FR-16 Connexion Pour connecter la source d’un signal au projecteur, procédez comme suit: 1. Mettez préalablement tous les appareils hors tension. 2. Utilisez les câbles appropriés pour chaque source. 3. Branchez les câbles correctement. • Voir le guide du propriétaire de chaque appareil pour les dét...
Page 17 - Connexion d’un moniteur; Pour connecter le projecteur à un moniteur :; MONITOR OUT; Connexion d’appareils vidéo composantes
FR-17 FRAN ÇAIS Connexion d’un moniteur Si vous souhaitez visualiser un gros plan de votre présentation sur un moniteur en plus de l’écran, vous pouvez connecter la prise de sortie de signal MONITOR OUT du projecteur à un moniteur externe en suivant les instructions ci-dessous: Pour connecter le pro...
Page 18 - Connexion à un appareil HDMI; Pour connecter le projecteur à un appareil HDMI :; HDMI; Connexion d’un appareil vidéo composantes
FR-18 Connexion à un appareil HDMI Utilisez un câble HDMI lors de la connexion entre le projecteur et des appareils HDMI. Pour connecter le projecteur à un appareil HDMI : 1. Prenez un câble HDMI et connectez une extrémité au port de sortie HDMI de l’appareil vidéo. 2. Connectez l’autre extrémité du...
Page 19 - Connexion d’un périphérique S-Vidéo; Pour connecter le projecteur à un périphérique S-Vidéo:
FR-19 FRAN ÇAIS Le chemin de connexion final doit être similaire à celui du diagramme suivant: Si l’image vidéo sélectionnée ne s’affiche pas lors de la mise sous tension du projecteur et que la source vidéo sélectionnée est correcte, vérifiez que le périphérique vidéo est sous tension et fonctionne...
Page 20 - Connexion d’un périphérique vidéo composite; Pour connecter le projecteur à un périphérique vidéo composite:; VIDEO
FR-20 Connexion d’un périphérique vidéo composite Examinez votre périphérique vidéo pour déterminer s’il est équipé d’une série de sorties vidéo composite inutilisées: • Si c’est le cas, vous pouvez continuer à suivre cette procédure. • Dans le cas contraire, il vous faudra trouver une autre méthode...
Page 21 - Fonctionnement; Mise en marche du projecteur; Alimentation; Aucun signal
FR-21 FRAN ÇAIS Fonctionnement Mise en marche du projecteur 1. Branchez le cordon d’alimentation au projecteur et à une prise murale. Allumez l’interrupteur de la prise murale (le cas échéant). Vérifiez que le POWER (Voyant de l’alimentation) du projecteur est orange une fois l’appareil mis sous ten...
Page 22 - Utilisation des menus; Langue
FR-22 Utilisation des menus Le projecteur offre une fonction d’affichage des menus à l’écran permettant d’effectuer différents réglages et paramétrages.Vous trouverez ci-dessous une vue d’ensemble du menu. Voici un exemple sur comment définir la langue des menus. 1. Appuyez sur le bouton MENU/EXIT d...
Page 23 - Utilisation de la fonction de mot de passe; Définition d’un mot de passe; Procédure de rappel de mot de passe
FR-23 FRAN ÇAIS Utilisation de la fonction de mot de passe À des fins de sécurité, le projecteur est doté d’une fonction de protection par mot de passe afin d’empêcher toute utilisation non autorisée. Le mot de passe peut être défini via le menu à l’écran. Pour plus d’informations sur l’utilisation ...
Page 24 - Désactivation de la fonction de mot de passe; Changement de signal d’entrée; Modification de l’espace couleur
FR-24 4. Entrez un nouveau mot de passe. Les chiffres saisis seront affichés à l’écran sous la forme d’astérisques. Notez le mot de passe choisi dans ce manuel de manière à pouvoir le retrouver facilement. Mot de passe : __ __ __ __ __ __Conservez ce nombre dans un endroit sûr. 5. Confirmez le nouve...
Page 25 - Ajustement de l’image projetée; Ajustement de l’angle de projection; Réglage automatique de l’image; AUTO; Réglage fin de la taille et de la netteté de l’image
FR-25 FRAN ÇAIS Ajustement de l’image projetée Ajustement de l’angle de projection Le projecteur est pourvu d’un pied de réglage à dégagement rapide et d’un pied de réglage arrière. Ils permettent de régler la hauteur de l’image et l’angle de projection. Pour régler le projecteur, procédez comme sui...
Page 26 - Agrandir et rechercher des détails
FR-26 Appuyez sur / sur le projecteur ou la télécommande pour afficher la page de correction trapézoïdale. Appuyez sur pour corriger la distorsion trapézoïdale en haut de l’image. Appuyez sur pour corriger la distorsion trapézoïdale en bas de l’image.• Utilisation des menus à l’écran 1. Appuyez sur ...
Page 27 - Sélection du format; AFFICHAGE; À propos du format; Auto
FR-27 FRAN ÇAIS Sélection du format Le format correspond au rapport entre la largeur de l’image et sa hauteur. Le format de la plupart des téléviseurs analogiques et ordinateurs est de 4:3, et le format des téléviseurs numériques et des DVD est généralement de 16:9.Le traitement numérique du signal ...
Page 28 - Optimisation de l’image; Sélection d’un mode d’image; Modes d’image pour différents types de signaux
FR-28 Optimisation de l’image Sélection d’un mode d’image Le projecteur comporte plusieurs modes d’image prédéfinis pour vous permettre de choisir le mode le mieux adapté à votre environnement d’exploitation et au type d’image du signal d’entrée.Pour sélectionner le mode souhaité, suivez l’une des p...
Page 29 - Réglage précis de la qualité de l’image dans les modes utilisateur
FR-29 FRAN ÇAIS Réglage précis de la qualité de l’image dans les modes utilisateur En fonction du type de signal sélectionné, des fonctions définissables par l’utilisateur sont disponibles lorsque le Mode Util. 1 ou Mode Util. 2 est sélectionné. Vous pouvez ajuster ces fonctions selon vos besoins. A...
Page 30 - Gestion couleur 3D; Utiliser Écran mural
FR-30 Gestion couleur 3D Dans la plupart des installations, la gestion des couleurs ne sera pas nécessaire, telles que dans une salle de classe, une salle de réunion ou dans les situations où les lumières restent allumées, ou lorsque les fenêtres laissent rentrer la lumière dans la pièce. La gestion...
Page 31 - Réglage du minuteur de présentation; Pour annuler le minuteur, procédez comme suit.
FR-31 FRAN ÇAIS Réglage du minuteur de présentation Le minuteur de présentation permet d’indiquer à l’écran la durée d’une présentation afin de vous permettre de mieux gérer votre temps. Suivez les étapes ci-dessous pour utiliser cette fonction:1. Appuyez sur TIMER SET UP sur la télécommande ou alle...
Page 32 - Comment utiliser le bouton TIMER ON?; Masquage de l’image; Touches de contrôle du verrouillage
FR-32 Comment utiliser le bouton TIMER ON? TIMER ON est une touche multifonction. • Si vous appuyez sur cette touche alors que le minuteur de présentation est désactivé, un message de confirmation s’affiche. Vous pouvez décider d’activer ou non le minuteur en suivant les instructions à l’écran. • Si...
Page 33 - Réglage du son; Désactivation du son; Personnalisation de l’affichage des menus du projecteur
FR-33 FRAN ÇAIS Réglage du son Les réglages du son effectués comme suit auront effet sur le haut-parleur du projecteur. Assurez-vous d’avoir établi les connexions appropriées à l’entrée audio du projecteur. Voir « Connexion » à la page 16 pour la connexion de l’entrée audio. Désactivation du son Pou...
Page 34 - Mise hors tension directe
FR-34 • Si le projecteur n’est pas éteint correctement, les ventilateurs se mettront à tourner pendant quelques minutes pour refroidir la lampe lors du redémarrage du projecteur. Appuyez à nouveau sur Alimentation pour démarrer le projecteur une fois les ventilateurs arrêtés et le POWER (Voyant de l...
Page 35 - Regarder du contenu 3D
FR-35 FRAN ÇAIS 3D Regarder du contenu 3D Vous pouvez profiter de contenu 3D avec ce projecteur. Afin de regarder le contenu 3D, vous devez avoir les éléments suivants : 1. Contenus vidéo 3D à séquence de champ 2. Lunettes à obturation électronique actives DLP Link (Séquence de champ : Le système qu...
Page 37 - Supervision et contrôle par ordinateur; Configurer les Paramètres de contrôle réseau; Si vous êtes dans un environnement DHCP :
FR-37 FRAN ÇAIS Supervision et contrôle par ordinateur Avec une connexion de câble réseau appropriée et des paramètres de configuration réseau, vous pouvez faire fonctionner le projecteur depuis un ordinateur avec un navigateur Web ou l’application PJLink™ (EX321U seulement) quand l’ordinateur et le...
Page 38 - Contrôler le projecteur à distance via un navigateur Web
FR-38 Contrôler le projecteur à distance via un navigateur Web (e-Control™) Lorsque vous avez l’adresse IP pour le projecteur et le projecteur est allumé ou en état de veille, vous pouvez utiliser n’importe quel ordinateur qui est sur le même réseau local pour contrôler le projecteur.Pour utiliser c...
Page 39 - Paramètres de contrôle réseau
FR-39 FRAN ÇAIS iii. Vous pouvez ajuster les Paramètres de contrôle réseau . iv. Une fois définis, l’accès à la page d’utilisation en réseau à distance sur ce projecteur est protégé par mot de passe. Pour activer cette fonction, cochez la case devant « Activer » et saisissez le mot de passe souhaité...
Page 40 - Contrôler le projecteur avec l’application PJLinkTM; À propos de PJLinkTM; Paramètres de contrôle; Commandes PJLink; Commande
FR-40 Contrôler le projecteur avec l’application PJLink™ (EX321U seulement) Ce projecteur prend en charge le protocole standard PJLink™ pour le contrôle du projecteur et vous pouvez contrôler et superviser le fonctionnement du projecteur en utilisant la même application sur des projecteurs de différ...
Page 41 - Comment utiliser les fonctions réseau; Contrôlé par; Glossaire
FR-41 FRAN ÇAIS • PJLink "INPT?" aura une réponse seulement quand la source est affichée à l'écran. En absence de signal, seul "Heure indisponible !" aura une réponse. • Le contrôle mentionné ci-dessus peut ne pas être réalisé correctement ou les données de supervision peuvent ne pas...
Page 42 - Système de menus; Menu principal
FR-42 Utilisation des menus Système de menus Notez que les menus à l’écran varient en fonction du type de signal sélectionné. Menu principal Sous-menu Options 1. AFFICHAGE Écran mural Désact./Jaune clair/Rose/Vert clair/Bleu/Tableau noir Format Auto/Réel/4:3/16:9 TrapèzePositionPhaseTaille HMagnify3...
Page 44 - Description de chaque menu; FONCTION
FR-44 Description de chaque menu FONCTION DESCRIPTION Écran mural Corrige la couleur de l’image projetée si le support de projection n’est pas blanc. Voir « Utiliser Écran mural » à la page 30 pour plus d’informations. Format Quatre options permettent de définir le format de l’image en fonction de v...
Page 45 - AGE
FR-45 FRAN ÇAIS FONCTION DESCRIPTION Paramètre Les modes d’image prédéfinis vous permettent d’optimiser le réglage de l’image en fonction du type de programme que vous souhaitez projeter. Voir « Sélection d’un mode d’image » à la page 28 pour plus d’informations. Luminosité Règle la luminosité de l’...
Page 46 - Refroidissement rapide; Réglages des menus
FR-46 FONCTION DESCRIPTION Refroidissement rapide La sélection de Activ. active la fonction et raccourcit le temps de refroidissement du projecteur de quelques secondes. Si vous essayez de redémarrer le projecteur immédiatement après le processus de refroidissement rapide, il peut ne pas se rallumer...
Page 47 - Rétablir tous les param.; État système actuel; Source; Résolution; Menu C
FR-47 FRAN ÇAIS FONCTION DESCRIPTION Paramètres de contrôle réseau Si vous utilisez un câble réseau pour la connexion, voir « Supervision et contrôle par ordinateur » à la page 37 pour des détails. Si vous utilisez un câble RS-232C pour la connexion, allez au menu CONFIG. SYSTÈME : avancée > Para...
Page 48 - Entretien; Entretien du projecteur; Nettoyage de la lentille; Nettoyage du boîtier du projecteur; Entreposage du projecteur; Transport du projecteur
FR-48 Entretien Entretien du projecteur Votre projecteur a besoin d’entretien de temps en temps, en fonction des circonstances environnementales, ce qui devrait être fait par des techniciens de maintenance agréés. Contactez votre revendeur pour des instructions. La seule chose que vous pouvez faire ...
Page 49 - Informations relatives à la lampe; Familiarisation avec les heures de la lampe; Augmenter la durée de vie de la lampe; Régler Mode lampe en Bas
FR-49 FRAN ÇAIS Informations relatives à la lampe Familiarisation avec les heures de la lampe Lorsque le projecteur fonctionne, la durée d’utilisation de la lampe (en heures) est calculée automatiquement par le compteur horaire intégré. La méthode de calcul de l’équivalent heures lampe est la suivan...
Page 50 - Quand remplacer la lampe; État; Bas
FR-50 Quand remplacer la lampe Lorsque le voyant de la lampe est rouge ou qu’un message conseillant de remplacer la lampe s’affiche, installez une nouvelle lampe ou consultez votre revendeur. L’utilisation d’une lampe usagée pourrait entraîner des dysfonctionnements au niveau du projecteur, voire un...
Page 51 - Remplacement de la lampe
FR-51 FRAN ÇAIS Remplacement de la lampe • Soyez sûr de remplacer la lampe par une nouvelle lampe vendue séparément qui est exclusive pour ce projecteur. Contactez votre revendeur pour acheter la lampe. • Pour éviter tout risque d’électrocution, mettez toujours le projecteur hors tension et débranch...
Page 53 - Réinitialiser le compteur de la lampe
FR-53 FRAN ÇAIS 13. Redémarrez le projecteur. Refermez toujours le couvercle de la lampe avant de mettre l’appareil sous tension. Réinitialiser le compteur de la lampe 14. Après le logo de démarrage, ouvrez le menu à l’écran. Allez au menu CONFIG. SYSTÈME : avancée > Param. lampe . Appuyez sur MO...
Page 54 - Voyants
FR-54 Voyants Voyant État et description Power Temp Lamp Événements - alimentation Orange Désact. Désact. Mode veille Vert Clignotant Désact. Désact. Mise en marche Vert Désact. Désact. Fonctionnement normal Orange Clignotant Désact. Rouge • 90 secondes de refroidissement sont nécessaires au project...
Page 55 - Dépannage
FR-55 FRAN ÇAIS Dépannage Le projecteur ne s’allume pas. Pas d’image Image brouillée La télécommande ne fonctionne pas Le mot de passe est incorrect La fonction réseau ne peut pas être utilisée Origine Solution Le cordon d’alimentation n’alimente pas l’appareil en électricité. Insérez le cordon d’al...
Page 56 - Caractéristiques; Caractéristiques du projecteur
FR-56 Caractéristiques Caractéristiques du projecteur Toutes les caractéristiques peuvent être modifiées sans notification préalable. Général Nom de produit Projecteur DLP™ Nom de modèle EX321U EX241U Caractéristiques optiques Résolution 1024 x 768 XGA 1024 x 768 XGA Système d’affichage 1-CHIP DMD O...
Page 57 - Dimensions; Fréquences de fonctionnement pour l’entrée PC
FR-57 FRAN ÇAIS Dimensions 282 mm (L) x 92 mm (H) x 229 mm (P) (Non compris la protrusion) Fréquences de fonctionnement Fréquences de fonctionnement pour l’entrée PC * Le projecteur ne prend en charge que la fréquence (720 x 400) avec 5 lignes (R, G, B, H, V). 282 233 110 50 68,3 Tolérance : ±2mm 22...
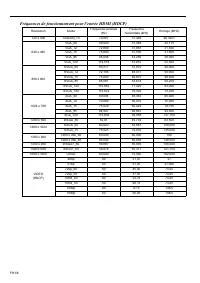
Page 58 - Fréquences de fonctionnement pour l’entrée HDMI (HDCP)
FR-58 Fréquences de fonctionnement pour l’entrée HDMI (HDCP) Résolution Mode Fréquence verticale (Hz) Fréquence horizontale (kHz) Horloge (MHz) 720 x 400 720x400_70 70,087 31,469 28,3221 640 x 480 VGA_60 59,940 31,469 25,175 VGA_72 72,809 37,861 31,500 VGA_75 75,000 37,500 31,500 VGA_85 85,008 43,26...
Page 59 - Fréquences de fonctionnement pour l’entrée YP; Pièce de rechange
FR-59 FRAN ÇAIS Fréquences de fonctionnement pour l’entrée YP b P r composantes L’affichage d’un signal 1080i(1125i) à 60Hz ou 1080i(1125i) à 50Hz peut avoir pour résultat une légère vibration de l’image. Fréquences de fonctionnement pour les entrées Vidéo et S-Vidéo Contenu de la boîte Pièce de rec...